This website requires JavaScript.
Explore
Help
Register
Sign In
gyz
/
obsidian_backup
Watch
1
Star
0
Fork
0
You've already forked obsidian_backup
Code
Issues
Pull Requests
Actions
Packages
Projects
Releases
Wiki
Activity
obsidian_backup
/
力学书籍
/
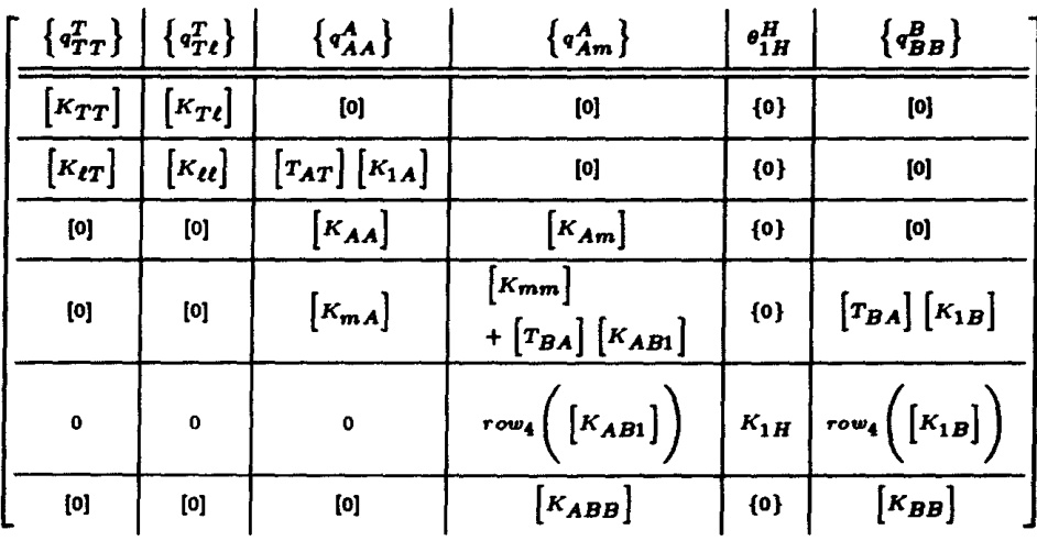
Kinematically nonlinear finite element model of a horizontal axis wind turbine
/
auto
/
images
/
1c51c5eaac0b4a74adff14bb0769051399d89224e4eab3476955cb177751196f.jpg
yz
14c51a35e6
vault backup: 2025-01-13 10:49:49
2025-01-13 10:49:50 +08:00
108 KiB
942x492px
Raw
History