The following are derivations of the entire equations of motion used in FAST for a 2-bladed turbine configuration. The various portions of the equations of motion are organized according to their source. The equations of motion of a 3-bladed turbine are very similar. By a direct result of Newton’s laws of motion, Kane’s equations of motion for a simple holonomic system with 22 DOFs can be stated as follows (Kane and Levinson, 1985): $$ F_{r}+F_{r}^{*}=O\quad\left(r=l,2,...,22\right) $$ where, for a set of $\boldsymbol{w}$ rigid bodies characterized by reference frame $N_{i}$ and center of mass point $X_{i}$ : the generalized active forces are: $$ \begin{array}{r l}&{F_{r}=\displaystyle\sum_{i=I}^{w}\varepsilon_{\nu}x_{i}\cdot F^{X_{i}}+{}^{E}\omega_{r}^{N_{i}}\cdot M^{N_{i}}\quad\left(r=I,2,\ldots,22\right)}\\ &{F_{r}^{\ast}=\displaystyle\sum_{i=I}^{w}\varepsilon_{\nu}x_{i}\cdot\left(-m^{N_{i}}\,^{E}a^{X_{i}}\right)+{}^{E}\omega_{r}^{N_{i}}\cdot\left(-\displaystyle^{E}\dot{H}^{N_{i}}\right)\quad\left(r=I,2,\ldots,22\right)}\end{array} $$ and the generalized inertia forces are: where it is assumed that for each rigid body $N_{i}$ , the active forces are applied at the center of mass point $X_{i}$ . The time derivative of the angular momentum of rigid body $N_{i}$ about its center of mass $X_{i}$ in the inertial frame can be found as follows: $$ ^{\varepsilon}\dot{H}^{N_{i}}=\left\{\!\!\begin{array}{c}{{\left(\dot{H}^{N_{i}}\right)^{\prime}\!\!+^{E}\pmb{\omega}^{N_{i}}\!\times\!\!^{E}H^{N_{i}}}}\\ {{o r}}\\ {{\left.\overline{{{\bar{I}}}}^{N_{i}}\!\cdot\!\!^{E}\pmb{\alpha}^{N_{i}}\!+\!\!^{E}\pmb{\omega}^{N_{i}}\!\times\!\!\overline{{{\bar{I}}}}^{N_{i}}.^{E}\pmb{\omega}^{N_{i}}\!\right.}}\end{array}\!\!\right. $$ For the wind turbine modeled in FAST, the mass of the platform, tower, yaw bearing, nacelle, structure that furls with the rotor, hub, blades, generator, and tail contribute to the total generalized inertia forces as follows: $$ \left.\!\!\begin{array}{l}{{\left.\!\!\!\!\!\!\!\!\!\!\!\!\!\!\!\!\!\!\!\!\!\!\!\!\!\!\!\!\!\!\!\!\!\!\!\!\!\!\!\!\!\!\!\!\!\!\!\!\!\!\!\!\!\!\!\!\!\!\!\!\!\!\!\!\!\!\!\!\!\!\!\!\!\!\!\!\!\!\!\!\!\!\!\!\!\!\!\!\!\!\!\!\!\!\!\!\!\!\!\!\!\!\!\!\!\!\!\!\!\!\!\!\!\!\!\!\!\!\!\!\!\!\!\!\!\!\!\!\!\!\!\!\!\!\!\!\!\!\!\!\!\!\!\!\!\!\!\!\!\!\!\!\!\!\!\!\!\!\!\!\!\!\!\!\!\!\!\!\!\!\!\!\!\!\!\!\!\!\!\!\!\!\!\!\!\!\!\!\!\!\!\!\!\!\!\!\!\!\!\!\!\!\!\!\!\!\!\!\!\!\!\!\!\!\!\!\!\!\!\!\!\!\!\!\!\!\!\!\!\!\!\!\!\!\!\!\!\!\!\!\!\!\!\!\!\!\!\!\!\!\!\!\!\!\!\!\!\!\!\!\!\!\!\!\!\!\!\!\!\!\!\!\!\!\!\!\!\!\!\!\!\!\!\!\!\!\!\!\!\!\!\!\!\!\!\!\!\!\!\!\!\!\!\!\!\!\!\!\!\!\!\!\!\!\!\!\!\!\!\!\!\!\!\!\!\!\!\!\!\!\!\!\!\!\!\!\!\!\!\!\!\!\!\!\!\!\!\!\!\!\!\!\!\!\!\!\!\!\!\!\!\!\!\!\!\!\!\!\!\!\!\!\!\!\!\!\!\!\!\!\!\!\!\!\!\!\!\!\!\!\!\!\!\!\!\!\!\!\!\!\!\!\!\!\!\!\!\!\!\!\!\!\!\!\!\!\!\!\!\!\!\!\!\!\!\!\!\!\!\!\!\!\!\!\!\!\!\!\!\!\!\!\!\!\!\!\!\!\!\!\!\!\!\!\!\!\!\!\!\!\!\!\!\!\!\!\!\!\!\!\!\!\!\!\!\!\!\!\!\!\!\!\!\!\!\!\!\!\!\!\!\!\!\!\!\!\!\!\!\!\!\! $$ Generalized active forces are the result of forces applied directly on the wind turbine system, forces that ensure constraint relationships between the various rigid bodies, and internal forces within flexible members. Forces applied directly on the wind turbine system include aerodynamic forces acting on the blades, tower, and tail fin; hydrostatic, hydrodynamic, mooring and/or foundation elasticity and damping forces, including added mass effects, acting on the platform; gravitational forces acting on the platform, tower, yaw bearing, nacelle, structure that furls with the rotor, hub, blades, tip brakes, and tail; generator torque; HSS brake; and gearbox friction forces. Forces that enforce constraint relationships between the various rigid bodies include springs and dampers for yaw, rotor-furl, teeter, and tail-furl (the simple workless constraint forces, for example frictionless pins or rigid connections, do not contribute to the generalized active forces). Internal forces within flexible members include elasticity and damping in the tower, blades, and drivetrain. Thus, 广义主动力是作用于风力发电机系统的直接力、确保各个刚体之间约束关系的力量,以及柔性构件内部的内力。作用于风力发电机系统的直接力包括作用于叶片、塔架和尾翼的空气动力,作用于平台的静水压力、水动力、系泊和/或地基弹性及阻尼力(包括附加质量效应),作用于平台、塔架、偏航轴承、机舱、与转子一起卷曲的结构、轮毂、叶片、翼尖刹车和尾部的重力,发电机扭矩,HSS制动,以及齿轮箱摩擦力。 确保各个刚体之间约束关系的力量包括偏航、转子卷曲、倾覆和尾部卷曲的弹簧和阻尼器(简单的无功约束力,例如无摩擦销或刚性连接,不贡献于广义主动力)。 柔性构件内部的内力包括塔架、叶片和传动系中的弹性及阻尼。 因此, $$ \begin{array}{r}{F_{r}\big|_{A e r o r}+F_{r}\big|_{A e r o b l}+F_{r}\big|_{A e r o b l}+F_{r}\big|_{A e r o a l}+F_{r}\big|_{H o r e a l}+F_{r}\big|_{G r o w X}+F_{r}\big|_{G r o w X}+F_{r}\big|_{G r o w Y}+F_{r}\big|_{G r o w Y}+F_{r}\big|_{G r o w Y}}\\ {+F_{r}\big|_{S p r o i g Y a w}+F_{r}\big|_{D a m p Y a w}+F_{r}\big|_{S p r o i n g F}+F_{r}\big|_{D a m p R F}+F_{r}\big|_{S p r o i n g T e e t}+F_{r}\big|_{D a m p T e e t}+F_{r}\big|_{S p r o i n g T e}+F_{r}\big|_{S p r o i n g T e}+F_{r}\big|_{H o r e a l}}\\ {+F_{r}\big|_{E l a s t i c T}+F_{r}\big|_{D a m p T}+F_{r}\big|_{E l a s t i c B l}+F_{r}\big|_{D a m p B l}+F_{r}\big|_{E l a s t i c B2}+F_{r}\big|_{D a m p B2}+F_{r}\big|_{E l a s t i c D r i e v}+F_{r}\big|_{D a m p B2}}\end{array} $$ Kane’s equations of motion can be written in matrix form as follows: $$ [C(q,t)]\{\ddot{q}\}+\{f(\dot{q},q,t)\}=\{0\}\qquad\qquad\mathrm{or,}\qquad[C(q,t)]\{\ddot{q}\}=\{-\:f(\dot{q},q,t)\} $$ Platform: The rigid lump mass of the platform brings about generalized inertia forces and generalized active forces associated with platform weight, hydrodynamics and hydrostatics, and mooring line and/or foundation elasticity and damping, including added mass effects. 平台刚性质量带来的广义惯性力及与平台重量、流体动力学、流体静力学、系泊线和/或地基弹性及阻尼相关的广义主动力,还包括附加质量效应。 Fr $\cdot\!\!\left|_{\boldsymbol{X}}={\}^{E}\nu_{r}^{\boldsymbol{Y}}\cdot\left(-m^{\chi\ E}a^{\boldsymbol{Y}}\right)+{}^{E}\omega_{r}^{\chi}\cdot\left(-{}^{E}\dot{\boldsymbol{H}}^{\chi}\right)\quad(r=I,2,\ldots,22)\qquad\qquad\mathrm{where}\qquad\qquad m^{\chi}$ $m^{X}=P t f m M a s s$ Thus, $\begin{array}{l}{{F_{r}^{*}\Big|_{{\cal X}}={^{E}}_{\psi_{r}}^{Y}\cdot\left(-m^{X}{^{E}}_{a}{^{Y}}\right)+{^{E}}_{\omega_{r}^{X}}\cdot\left(-\overline{{\overline{{{\cal I}}}}}{^{X}}\cdot{^{E}}_{a}{^{X}}-{^{E}}_{\omega}{^{X}}\times\overline{{\overline{{{\cal I}}}}}{^{X}}\cdot{^{E}}_{\omega}{^{X}}\right)\;\;\left(r=I,2,\ldots,22\right)}}\\ {{\mathrm{where}}}&{{\overline{{\overline{{\cal I}}}}{^{X}}=P t f m R l n e r a_{I}a_{I}+P t f m Y l n e r a_{2}a_{2}+P t f m P l n e r a_{3}a_{3}}}\end{array}$ Or, $F_{r}^{*}\Big|_{X}=^{E}\psi_{r}^{Y}\cdot\left(-m^{X}\left\{\left(\sum_{i=I}^{6}\varepsilon_{\nu_{i}^{Y}}\ddot{q}_{i}\right)+\left[\sum_{i=I}^{6}\frac{d}{d t}\Big(^{\varepsilon}\nu_{i}^{Y}\Big)\dot{q}_{i}\right]\right\}\right)+^{E}\omega_{r}^{X}\cdot\left[-\overline{{I}}^{X}\cdot\left(\sum_{i=I}^{6}\varepsilon_{\omega_{i}^{X}}\ddot{q}_{i}\right)-^{E}\omega_{r}^{X}\ddot{q}_{i}\right]$ ω $\left(r=l,2,\ldots,\theta\right)$ Thus, $\begin{array}{l}{\displaystyle\left[{\cal C}\left(q,t\right)\right]_{\scriptstyle\cal X}\left(R o w,C o l\right)=m^{\,\chi\,\,E}\,\nu_{R o w}^{\scriptscriptstyle\cal Y}\cdot{}^{\varepsilon}\nu_{c o l}^{\scriptscriptstyle\cal Y}+{}^{\varepsilon}\omega_{R o w}^{\scriptscriptstyle\cal X}\cdot\overline{{{\overline{{\mathbf{J}}}}}}\,{}^{\varepsilon}\cdot{}^{\varepsilon}\omega_{c o l}^{\scriptscriptstyle\cal X}\quad\left(R o w,C o l=l,2,\ldots,C o l\right)}\\ {\displaystyle\left\{-f\!\left(\dot{q},q,t\right)\right\}\right|_{\scriptscriptstyle\cal X}\left(R o w\right)\!=\!-m^{\,\chi\,\,E}\,\nu_{R o w}^{\scriptscriptstyle\cal Y}\cdot\left[\displaystyle\sum_{i=j}^{\delta}\frac{d}{d t}\!\left({}^{\varepsilon}\nu_{i}^{\scriptscriptstyle\cal Y}\right)\dot{q}_{i}\right]\!\!-\!{}^{\varepsilon}\omega_{R o w}^{\scriptscriptstyle\cal X}\cdot\left({}^{\varepsilon}\omega^{\scriptscriptstyle\cal X}\times\overline{{{\overline{{I}}}}}\,{}^{x}\cdot{}^{\varepsilon}\omega^{\scriptscriptstyle X}\right)\quad(\mathrm{~a~n~d~})}\end{array}$ 5 Row=1,2,,6) $F_{r}\Big|_{G r a v X}=^{E}\nu_{r}^{Y}\cdot\left(-m^{X}g z_{2}\right)\quad\left(r=3,4,...,6\right)\qquad\qquad\mathrm{where}\qquad\qquad g=G r a v i t y$ Thus, $\begin{array}{l}{\left[C\left(q,t\right)\right]\Bigr|_{G r a v X}=O}\\ {\left.\left\{-f\left(\dot{q},q,t\right)\right\}\Bigr|_{G r a v X}\left(R o w\right)\!=\!-m^{X}g^{\phantom{X}}\nu_{R o w}^{Y}\cdot z_{2}\quad\left(R o w=3,\mathcal{I},...,\delta\right)}\end{array}$ $$ \left.F_{r}\right|_{H y d r o X}={^{E}\nu_{r}^{Y}}\cdot F_{H y d r o}^{Y}+{^{E}\omega_{r}^{X}}\cdot M_{H y d r o}^{X@Y}\quad\left(r=l,2,...,22\right) $$ $F_{H y d r o}^{Z}$ $M_{H y d r o}^{X@Z}$ $F_{H y d r o}^{Y}=F_{H y d r o}^{Z}$ and $M_{H y d r o}^{X\overline{{{(a)}}}}=M_{H y d r o}^{X\overline{{{(a)}}}Z}+r^{Y Z}\times F_{H y d r o}^{Z}=M_{H y d r o}^{X\overline{{{(a)}}}Z}-r^{Z Y}\times F_{H y d r o}^{Z}$ since $r^{\scriptscriptstyle T Z}=-r^{Z Y}$ But since ${}^{E}{\pmb{\nu}}_{r}^{Y}={}^{E}{\pmb{\nu}}_{r}^{Z}+{}^{E}{\pmb{\omega}}_{r}^{X}\times{\pmb{r}}^{Z Y}$ , this generalized active force can be expanded to: $$ \left.F_{r}\right|_{H\triangleright d r o X}=\left(^{E}\nu_{r}^{Z}+^{E}\omega_{r}^{X}\times r^{Z Y}\right)\cdot F_{H\triangleright d r o}^{Z}+^{E}\omega_{r}^{X}\cdot\left(M_{H\triangleright d r o}^{X\ G Z}-r^{Z Y}\times F_{H\triangleright d r o}^{Z}\right)\quad(r=I,2,\dots,22 $$ Now applying the cyclic permutation law of the scalar triple product, the generalized active force simplifies to: 现在应用标量三重积的循环置换律,广义主动力简化为: $$ F_{r}|_{H_{y d r o X}}=^{E}\nu_{r}^{Z}\cdot F_{H_{y d r o}}^{Z}+^{E}\omega_{r}^{X}\cdot M_{H y d r o}^{X@Z}\quad\left(r=I,2,...,6\right) $$ But, $$ F_{H y d r o}^{Z}=\left(\sum_{j=I}^{6}F_{H y d r o_{j}}^{Z}\ddot{q}_{i}\right)+F_{H y d r o_{t}}^{Z} $$ $$ M_{H y d r o}^{X\ @Z}=\left(\sum_{j=I}^{6}M_{H y d r o_{j}}^{X\ @Z}\ddot{q}_{i}\right)+M_{H y d r o_{t}}^{X\ @Z} $$ where, $$ \begin{array}{l l l l l}{\displaystyle{\mathbf{\Theta}_{H y d r o_{j}}^{Z}=-\left(\sum_{i=l}^{3}a_{i j}\mathbf{\Theta}^{E}\boldsymbol{\nu}_{i}^{Z}\right)}}&{\left(j=l,2,...,\theta\right)}&{\quad\mathrm{~and~}\quad\quad}&{\displaystyle{\mathbf{\Theta}_{H y d r o_{j}}^{X\equiv Z}=-\left(\sum_{i=l}^{6}a_{i j}\mathbf{\Theta}^{E}\boldsymbol{\omega}_{i}^{X}\right)}}\end{array} $$$$ M_{H y d r o_{j}}^{X\ @Z}=-\!\left(\sum_{i=4}^{6}{a_{i j}}^{E}\omega_{i}^{X}\right)\;\;\left(j=l,2,...,6\right) $$ with $a_{i j}$ $\left(i,j=l,2,\ldots,\delta\right)$ being the added mass coefficients (or equivalently, $[a]$ being the added mass matrix), $F_{H\!y d r o_{j}}^{Z}\quad\left(j=l,2,\ldots,\right)$ and $\begin{array}{r l}{M_{H_{y}d r o_{j}}^{X(\underline{{\omega}}Z}}&{{}\left(j=l,2,...,6\right)}\end{array}$ being the partial hydrodynamic added mass forces and moments, and $F_{H y d r o_{t}}^{Z}$ and $M_{H y d r o_{t}}^{X@Z}$ being the contributions to $F_{H y d r o}^{Z}$ and $M_{H y d r o}^{X@Z}$ that don’t depend on platform accelerations. 令 $a_{ij}$ ( $i,j=1,2,\ldots,6$ ) 为附加质量系数(或等效地,[a] 为附加质量矩阵),$F_{H\!y d r o_{j}}^{Z}$ ( $j=1,2,\ldots$ ) 和 $\begin{array}{r l}{M_{H_{y}d r o_{j}}^{X@Z}}&{{}\left(j=1,2,...,6\right)}\end{array}$ 分别为partial水动力附加质量力矩和力,而 $F_{H y d r o_{t}}^{Z}$ 和 $M_{H y d r o_{t}}^{X@Z}$ 为不依赖平台加速度的 $F_{H y d r o}^{Z}$ 和 $M_{H y d r o}^{X@Z}$ 的贡献。 Thus, 6 6 Fr HydroX ∑ FZ Hydrojqi + FZ Hydrot Eω ∑ MX@Z Hydrojqi +MHXy@drZo (r=1,2,,6) j =1 j =1 and $\begin{array}{r l}&{\left[C\left(q,t\right)\right]\Bigr|_{H\triangleright d r o X}\left(R o w,C o l\right)=\left[a\right]\left(R o w,C o l\right)=-\frac{E}{\nu}\nu_{R o w}^{Z}\cdot F_{H y d r o c_{d}}^{Z}-\frac{E}{\nu}\omega_{R o w}^{X}\cdot M_{H y d r o c_{d}}^{X\omega Z}}\\ &{\left\{-f\left(\dot{q},q,t\right)\right\}\Bigr|_{H\triangleright d r o X}\left(R o w\right)=\frac{E}{\nu}\nu_{R o w}^{Z}\cdot F_{H y d r o_{t}}^{Z}+\frac{E}{\nu}\omega_{R o w}^{X}\cdot M_{H y d r o_{t}}^{X\omega Z}\quad\left(R o w=I,2,\ldots,\delta\right)}\end{array}$ =1,2,,6) # Tower: The distributed properties of the tower bring about generalized inertia forces and generalized active forces associated with tower elasticity, tower damping, tower aerodynamics, and tower weight. Note that I eliminated the tower mass tuners, since it is redundant to have both mass and stiffness tuners when trying to tune tower frequencies (to tune the frequencies for individual modes, all that is needed is to tune the mass or the stiffness for the individual modes, but not both). Note also that I eliminated the tower stiffness tuner’s effects on the gravitational destiffening loads. It is also beneficial to eliminate the tower mass tuners because the tower mass density is needed to compute the tower base loads and thus these tuners affect the tower base loads directly—this makes the form of the tower base load equations considerably more complex and considerably less intuitive. Since the tower elastic stiffness does not directly influence the tower base loads in a fundamental way, the retention of the tower stiffness tuners is much more favorable than the retention of the tower mass tuners (recall that only one set of tuners needs to be retained in order to permit the user to match natural frequencies). The elimination of the tower stiffness tuner’s effects on the gravitational destiffening was done for the same reason (i.e., the gravity loads directly affect the tower base loads, and thus, tower stiffness tuners make the form of the tower base load equations considerable more complex and considerably less intuitive). The fact that the gravitational destiffening of the tower is small compared to the overall stiffness of the tower is another reason this elimination of stiffness tuning effects should not be of significant concern. 塔架的分布式特性带来了与塔架弹性、塔架阻尼、塔架气动特性和塔架重量相关的广义惯性力和广义主动力。值得注意的是,我消除了塔架质量调谐器,因为在尝试调谐塔架频率时,同时拥有质量和刚度调谐器是多余的(为了调谐单个模态的频率,所需的只是调谐单个模态的质量或刚度,而不是两者都调谐)。另请注意,我消除了塔架刚度调谐器对重力去刚化载荷的影响。消除塔架质量调谐器也是有益的,因为计算塔基载荷需要塔架质量密度,因此这些调谐器直接影响塔基载荷——这使得塔基载荷方程的形式变得相当复杂且直观性大大降低。由于塔架弹性刚度从根本上不直接影响塔基载荷,因此保留塔架刚度调谐器比保留塔架质量调谐器更有利(回想一下,为了允许用户匹配固有频率,只需保留一套调谐器)。消除塔架刚度调谐器对重力去刚化的影响也是出于同样的原因(即,重力载荷直接影响塔基载荷,因此,塔架刚度调谐器使得塔基载荷方程的形式变得相当复杂且直观性大大降低)。塔架的重力去刚化相对于塔架的整体刚度而言很小,这是这种消除刚度调谐影响的做法不应引起重大关注的另一个原因。 ![](images/e8b2ca880b8147c9b8b8bc1ebe78e9edd638f1dbb0fa508ed80d0999d727379c.jpg) where $k_{\ i j}^{\,\prime T F A}$ and $k_{\mathbf{\Lambda}_{i j}}^{\mathbf{\Lambda}^{T S S}}$ are the generalized stiffnesses of the tower in the fore-aft and side-to-side directions respectively when gravitational destiffening effects are not included as follows: k'iTjFA= $\begin{array}{r l}{\sqrt{F A S t T u n r left(i\right)F A S t T u n r\left(j\right)}\overset{T w r F l e c L}{\underset{o}{\int}}E I^{T F A}\left(h\right)\frac{d^{2}\phi_{i}^{T F A}\left(h\right)}{d h^{2}}\frac{d^{2}\phi_{j}^{T F A}\left(h\right)}{d h^{2}}d h}&{\left(i,j=I,2\right)\left(\frac{d^{2}\phi_{i}^{T F A}\left(h\right)}{d h^{2}}\right)}\\ {E I^{T F A}\left(h\right)=A d j F A S t\cdot T w F A S t i f\left(h\right)}&{}\end{array}$ )d2φiTFA2( h)d2φjTFA2( h)dh (i, j=1,2) (which is symmetric) $$ \begin{array}{r l}&{=\sqrt{S S S t T u n r\left(i\right)S S S t T u n r\left(j\right)}\overset{T w r F l e s L}{\underset{\theta}{\int}}E I^{T s s}\left(h\right)\frac{d^{2}\phi_{i}^{T s s}\left(h\right)}{d h^{2}}\frac{d^{2}\phi_{j}^{T s s}\left(h\right)}{d h^{2}}d h\quad\left(i,j=I,2\right)}\\ &{\in\quad\quad\quad E I^{T s s}\left(h\right)=A d j S S t\cdot T w S S S t i f\left(h\right)}\end{array} $$ The coefficient in front of the integral in these generalized stiffnesses represents the individual modal stiffness tuning, which allows the user to vary the stiffness of the tower between the individual modes to permit better matching of tower frequencies. To be precise, the tuner coefficient only really makes sense when working with a generalized stiffness of a single mode (i.e., $k_{\;\;I I}^{\;\prime T F A},\;k_{\;\;22}^{\;\prime T F A},\;k_{\;\;I I}^{\;\prime T S S}$ , or $k\,_{\,22}^{\prime T S S}$ ), in which case the coefficient for mode $i$ is simply $F A S t T u n r(i)$ or SSStTunr $(i)$ . However, since the cross-correlation elements of the generalized stiffness matrix will, in general, not vanish, the coefficient in the form above permits the tuning to apply to these terms in a consistent fashion. 这些广义刚度中的积分系数代表了各个模态刚度调谐,允许用户在各个模态之间改变塔的刚度,从而更好地匹配塔的固有频率。 值得注意的是,调谐系数的意义主要体现在针对单一模态的广义刚度时(例如,$k_{\;\;I I}^{\;\prime T F A},\;k_{\;\;22}^{\;\prime T F A},\;k_{\;\;I I}^{\;\prime T S S}$ , 或 $k\,_{\,22}^{\prime T S S}$ ),此时第 $i$ 阶模态的系数仅仅是 $F A S t T u n r(i)$ 或 SSStTunr $(i)$ 。 然而,由于广义刚度矩阵的互相关元素通常不会消失,因此上述形式的系数允许以一致的方式将调谐应用于这些项。 ![](images/0b65fb6e4f6782f33fff2b4fc56e3d349a6d994d86f02cd0eed472ec83faca1c.jpg) where $\zeta_{i}^{T F A}$ and $\zeta_{i}^{T S S}$ represent the structural damping ratio of the tower for the $i^{\mathrm{th}}$ mode in the fore-aft and side-to-side directions, $T w r F A D m p(i)/l O O$ and $T w r S S D m p(i)/l O O$ respectively. Also, $f_{\ i}^{\,\prime T F A}$ and $f_{\ i}^{\prime T S S}$ represent the natural frequency of the tower for the $i^{\mathrm{th}}$ mode in the fore-aft and side-to-side directions respectively without tower-top mass or gravitational destiffening effects. That is, 其中,$\zeta_{i}^{T F A}$ 和 $\zeta_{i}^{T S S}$ 分别表示塔针对第 $i$ 阶模态在前后向和侧向上的结构阻尼比,分别记为 $T w r F A D m p(i)/l O O$ 和 $T w r S S D m p(i)/l O O$。 此外,$f_{\ i}^{\,\prime T F A}$ 和 $f_{\ i}^{\prime T S S}$ 分别表示塔针对第 $i$ 阶模态在前后向和侧向上的固有频率,不考虑塔顶质量和重力软化效应。 即, $$ f_{\;\;i}^{\;\prime^{T F A}}=\frac{I}{2\pi}\sqrt{\frac{k_{\;i i}^{\prime^{T F A}}}{m_{\;i i}^{\prime^{T F A}}}}\;\;\;\;\;\mathrm{and}\;\;\;\;\;\;\;f_{\;i}^{\;\prime^{T S S}}=\frac{I}{2\pi}\sqrt{\frac{k_{\;i i}^{\prime T S S}}{m_{\;i i}^{\prime T S S}}} $$ where $m_{\;i i}^{\;\prime T F A}$ and $m_{\ i i}^{\prime T S S}$ represent the generalized mass of the tower for the $i^{\mathrm{th}}$ mode in the fore-aft and side-to-side directions respectively without tower-top mass effects as follows: 其中,$m_{\;i i}^{\;\prime T F A}$ 和 $m_{\ i i}^{\prime T S S}$ 分别表示在塔顶质量效应忽略的情况下,第 $i$ 阶模态在前后方向和左右方向上的广义质量,具体如下: $$ m_{\ i j}^{\prime^{T F A}}=\int_{0}^{T w r F l e x L}\mu^{T}\left(h\right)\phi_{i}^{T F A}\left(h\right)\phi_{j}^{T F A}\left(h\right)d h\quad\left(i,j=I,2\right) $$ and $$ m_{\it i j}^{\prime T S S}=\int_{0}^{T w r F l e x L}\mu^{T}\left(h\right)\phi_{i}^{T S S}\left(h\right)\phi_{j}^{T S S}\left(h\right)d h\quad\left(i,j=l,2\right) $$ $$ \left[C(q,t)\right]\Bigr|_{E l a s t i c T}=O $$ # Thus,
ElasticTpueDampT
-f(a,q,t)}
TFA1TFA
9TFA1 9TFA2 TSSπ πf TSS ,TSSTFA TFA 11 qTFA2 TFA TFA
ElasticT1TSS1 1TSS2 .......{-f(g,q,t)}TSS ,TSS
YTFA1 4TFA271 TSS TSS TSS2 π
TSS TSS 4TSS1 YTSS2 22 ·.............................................................. TFA TFA TFA TFA
πfITFAqTFA1 22 TFA2
21 qTSS1 DampT πfITSSTSS TSS TSS 22 TSS2 πfITSS
...................................
$$ F_{r}\Big|_{G r a v T}=\int_{0}^{\mathrm{\tiny~\itzurr}/c s L}\varepsilon_{\nu_{r}}^{{\cal T}}\left(h\right)\cdot\left[-\mu^{{\cal T}}\left(h\right)g z_{2}\right]d h+{^{E}\nu_{r}^{o}}\cdot\left(-Y a w B r M a s s\cdot g z_{2}\right)\quad\left(r=3,4,\ldots,4\right)\,. $$ {−f (q, $q,t)\Bigr\}|_{G r a v T}\left(R o w\right)=-\int_{0}^{T w r F|e x d}\mu^{T}\left(h\right)g^{\cal{E}}\nu_{R o w}^{T}\left(h\right)\cdot z_{2}d h-Y a w B r M a s s\cdot g^{\cal{E}}\nu_{R o w}^{o}\cdot z_{2}\quad\left(R o w\right)\times\ r e^{-i\{\frac{1}{2}\}w_{R o w}^{T}\},$ =3,4,,10) # TwrFlexL $F_{r}\Big|_{A e r o T}=\int_{0}^{\mathbf{\pi}^{\prime}\cdot\mathbf{\mu}^{\mathrm{max}}}\Big[\,E_{\pmb{\nu}_{r}}^{\pmb{r}}\left(h\right)\cdot F_{A e r o T}^{T}\left(h\right)+\,^{E}\omega_{r}^{\pmb{r}}\left(h\right)\cdot M_{A e r o T}^{F}\left(h\right)\Big]d h\quad\left({r=I,2,\ldots,I\theta}\right)$ where $F_{A e r o T}^{T}\left(h\right)$ and $M_{A e r o T}^{F}\left(h\right)$ are aerodynamic forces and moments applied to point $\mathrm{T}$ on the tower respectively expressed per unit height. Thus, C (q,t) =0 {−f (q,q,t $\left.\right)\right\vert_{A e r o T}\left(R o w\right)=\prod_{\theta}^{I W T\ i e x t}\left[\stackrel{E}{\sim}\nu_{R o w}^{T}\left(h\right)\cdot\stackrel{F}{\cdot}\nu_{A e r o T}^{T}\left(h\right)+\stackrel{E}{\cdot}\omega_{R o w}^{F}\left(h\right)\cdot M_{A e r o T}^{F}\left(h\right)\right]d h\quad\left(R o w=I,2\cdot\nu_{R o w}\right).$ ,,10) ![](images/2785e1e11903d0b60025e83287a636f56201f41f4f0d5fe8d19b39d3a4dd7eb8.jpg) Yaw: The yaw spring and yaw damper bring about yaw moments. Nacelle: The rigid lump mass of the nacelle brings about generalized inertia forces and generalized active forces associated with nacelle weight. Fr N $=^{E}\nu_{r}^{U}\cdot\left(-m^{N\ E}a^{U}\right)+^{E}\omega_{r}^{N}\cdot\left(-^{E}\dot{H}^{N}\right)\quad(r=I,2,\ldots,22)\qquad\qquad\mathrm{where}\qquad\qquad m^{N}=E\cdot$ $m^{N}=N a c M a s s$ Thus, $\begin{array}{r l}&{F_{r}^{*}\Big|_{N}=^{\varepsilon}\pmb{\nu}_{r}^{U}\cdot\left(-m^{N\varepsilon}\pmb{a}^{U}\right)+^{\varepsilon}\pmb{\omega}_{r}^{N}\cdot\left(-\overline{{\overline{{I}}}}^{N}\cdot^{\varepsilon}\pmb{a}^{N}-^{E}\pmb{\omega}^{N}\times\overline{{\overline{{I}}}}^{N}\cdot^{\varepsilon}\pmb{\omega}^{N}\right)\quad\left(r=I,2,\ldots,22\right)}\\ &{\mathrm{where}\;\;\;\;\;\;\;\;\;\;\;\;\;\overline{{\overline{{I}}}}^{N}=\left[N a c Y I n e r-m^{N}\left(N a c C M x n^{2}+N a c C M y n^{2}\right)\right]\!d_{2}d_{2}}\end{array}$ Or, r $\left.^{*}\right|_{N}=\left.^{E}\nu_{r}^{U}\cdot\left(-m^{N}\left\{\left(\sum_{i=l}^{l l}E_{\nu_{i}^{U}}^{U}\ddot{q}_{i}\right)+\left[\sum_{i=d}^{l l}\frac{d}{d t}\!\left(^{E}\nu_{i}^{U}\right)\dot{q}_{i}\right]\right\}\right)+^{E}\omega_{r}^{N}\cdot\left(-\overline{{\overline{{I}}}}^{N}\cdot\left\{\left(\sum_{i=d}^{l l}E_{\omega_{i}^{N}}^{\omega_{i}}\ddot{q}_{i}\right)+\left[\sum_{i=d}^{l l}\frac{d}{d t}\!\left(^{E}\nu_{i}^{U}\right)\dot{q}_{i}\right]\right\}\right)\right|_{N},$ ∑ddt(EωiN)qi−EωN×IN⋅EωN $\left(r=l,2,...,I I\right)$ Thus, C (q,t)N(Row,Col)=mNEvRUow⋅EvCUol+EωRNow⋅IN⋅EωCNol (Row,Col=1,2,,11) {−f (q,q,t)} (Row)= −mNEvRUow⋅ ∑ddt(EviU)qi−EωRNow⋅IN⋅∑ddt(EωiN)qi+EωN×IN⋅Eω (Row=1,2,,11) $F_{r}|_{G r a v N}={^{E}\nu_{r}^{U}}\cdot\left(-m{^{N}}g z_{2}\right)\;\;\;\left(r=3,4,...,l l\right)$ Thus, $\begin{array}{l}{\left[C\!\left(q,t\right)\right]_{G r a v N}=O}\\ {\left.\left\{-f\!\left(\dot{q},q,t\right)\right\}\right|_{G r a v N}\left(R o w\right)\!=\!-m^{N}g^{\phantom{\frac{N}{L}}}\nu_{R o w}^{U}\cdot z_{2}\quad\left(R o w=3,4,\ldots,I I\right)}\end{array}$ Rotor-Furl: The rotor-furl springs (linear and stops) and rotor-furl dampers (Coulomb, linear, and stops) bring about rotor-furl moments. ![](images/e7c96cd1dc15d16c81ae9efd6a454fac0104b89a411f385ed3f5df7a46499a98.jpg) Thus, # C (q,t) =0 SpringRF rowspan="14"
{-f(q,q,t))
-RFrlSpr·qRFrl -IF
[4Rn > RFrlUSSP, RFrlUSSpr(Rr - RFrlUSSP),0] SpringRF < RFrlDSSP,RFrlDSSpr (qRFr - RFrlDSSP),0
IF qRFrl
and # C (q,t) =0 DampRF rowspan="14">
.... ........
{-f(g,q,t)} DampRF
qRFrl
<> 0, RFrlCDmp · SIGN(RFrl ),0 - IF[qrFn > RFrlUSDP, RFrlUSDmp ar,0]
-IF[qRFrl < RFrlDSDP, RFrIDSDmp · rrr,0]
Structure That Furls with the Rotor (Not Including Rotor): The rigid lump mass of the structure that furls with the rotor (not including the rotor) brings about generalized inertia forces and generalized active forces associated with the structure’s weight. Fr $\cdot\bigg|_{R}=^{\varepsilon}\nu_{r}^{D}\cdot\left(-m^{R\ E}a^{D}\right)+^{E}\omega_{r}^{R}\cdot\left(-^{\varepsilon}\dot{H}^{R}\right)\quad\left(r=l,2,\dots,22\right)\quad\qquad\qquad\mathrm{where}\qquad\qquad m^{R}\bigg|_{R}^{}$ $m^{R}=R F r l M a s s$ Thus, ![](images/57385a94f60492a3dbfbfe875d9397cab105829ef7f2af76d4d87c91a11477e7.jpg) $$ \sum_{i=l}^{l2}\varepsilon_{\nu_{i}^{D}}\ddot{q}_{i}\left.\right)+\left[\sum_{i=l}^{l2}\frac{d}{d t}\Big(^{E}\nu_{i}^{D}\Big)\dot{q}_{i}\right]\Biggr]\dot{\ y}+^{E}\omega_{r}^{R}\cdot\left(-\overline{{{I}}}^{R}\cdot\left\{\left(\sum_{i=l}^{l2}\varepsilon_{\omega_{i}^{R}}\ddot{q}_{i}\right)+\left[\sum_{i=l}^{l2}\frac{d}{d t}\Big(^{E}\omega_{i}^{R}\Big)\dot{q}_{i}\right]\right\}-^{E}\omega_{\sigma_{r}}^{R}\right). $$ $$ \begin{array}{l}{{\left.\begin{array}{l}{{\left.\begin{array}{l}{{\boldsymbol{\Sigma}\left(q,t\right)}}\end{array}\right|}\right|_{R}\left(R o w,C o l\right)=m^{R}\,^{E}\nu_{R o w}^{D}\cdot^{\nu}\nu_{C o l}^{D}+^{\;E}\omega_{R o w}^{R}\cdot\overline{{{\overline{{I}}}}}^{R}\cdot^{E}\omega_{C o l}^{R}\quad\left(R o w,C o l=I,2,\ldots,I\right)}}\\ {{\left.\cdot f\left(\dot{q},q,t\right)\right\rangle}\right|_{R}\left(R o w\right)\!=\!-m^{R}\,^{E}\nu_{R o w}^{D}\cdot\left[\displaystyle\sum_{i=d}^{l^{2}}\frac{d}{d t}\!\left(^{E}\nu_{i}^{D}\right)\dot{q}_{i}\right]\!-^{\;E}\omega_{R o w}^{R}\cdot\left\{\overline{{{\overline{{I}}}}}^{R}\cdot\left[\displaystyle\sum_{i=7}^{l^{2}}\frac{d}{d t}\!\left(^{E}\omega_{i}^{R}\right)\dot{q}_{i}\right]+}}\end{array}}}\end{array} $$ EωR×IR⋅Eω (Row=1,2,,12) $F_{r}|_{G r a v R}={^{E}\nu_{r}^{D}}\cdot\left(-m{^{R}}g z_{2}\right)\;\;\;\left(r=3,4,...,l2\right)$ Thus, $\begin{array}{l}{\left.\left[C\left(q,t\right)\right]\right|_{G r a v R}=O}\\ {\left.\left\{-f\left(\dot{q},q,t\right)\right\}\right|_{G r a v R}\left(R o w\right)\!=\!-m^{R}g^{\phantom{\alpha}E}\nu_{R o w}^{D}\cdot z_{2}\quad\left(R o w=3,4,\ldots,I2\right)}\end{array}$ Teeter: The teeter springs (soft and hard stop) and teeter dampers (Coulomb and soft stop) bring about teeter moments. ![](images/b2da3bafdc6945f3f350aaa8c6ec474b49d58328893becb2ef44ad07e034ab2f.jpg) # Thus, [C(q,t)]SpringTeet rowspan="14">
SpringTeet
{-f(g,q,t)}
IF >TeetHStP,TeetHSSp SIGN(qree )(lqree|- TeetHStP),0
>TeetSStP,TeetSSSp - SIGN(ree )(areeI- TeetSStP),0
# and $\left[C(q,t)\right]_{D a m p T e e t}=O$
{-f(g,q,t)}
DampTeet
IF Tee <> 0,TeetCDmp · SIGN(ree ),0
IF > TeetDmpP,TeetDmp· iTeet, IaTee
Hub: The rigid lump mass of the hub brings about generalized inertia forces and generalized active forces associated with hub weight. Fr\*H $={}^{E}\nu_{r}^{C}\cdot\left(-m^{H}{}^{E}a^{C}\right)+{}^{E}\omega_{r}^{H}\cdot\left(-{}^{E}\dot{H}^{H}\right)\quad(r=I,2,\ldots,22)\qquad\qquad\mathrm{where}\qquad\qquad m^{H}=1\mathrm{,}$ $m^{H}=H u b M a s s$ Thus, Fr\* =EvrC⋅(− $\begin{array}{r l}&{\boldsymbol{n}^{H\;E}\boldsymbol{a}^{c}\Big)+{}^{E}\boldsymbol{\omega}_{r}^{H}\cdot\left(-\overline{{\overline{{I}}}}^{H}\cdot\boldsymbol{\varepsilon}_{\alpha}^{H}-{}^{E}\boldsymbol{\omega}^{H}\times\overline{{\overline{{I}}}}^{H}\cdot\boldsymbol{\varepsilon}_{\omega}^{H}\right)\quad(r=I,2,...,22)}\\ &{\quad\overline{{\mathrm{\Omega}}}^{\overline{{\boldsymbol{r}}}N}=\left[\frac{H u b I n e r-\operatorname{\langle{I\rangle}}\big(U n d S l i n g-H u b C M\big)^{2}}{c o s^{2}\big(D e l t a3\big)}\right]\boldsymbol{g}_{I}\boldsymbol{g}_{I}+\left[\frac{H u b I n e r-m^{H}\big(U n d S l i n g-H u b I\big)}{c o s^{2}\big(D e l t a3\big)}\right]\boldsymbol{g}_{I}\boldsymbol{g}_{\alpha}}\end{array}$ where I bCM) g2 g2 since it is assumed that the hub is essentially a uniform rod directed along the $g_{3}$ axis and passing through the hub center of mass location (point C). Note that if: $\left[\frac{H u b I n e r-m^{H}\left(U n d S l i n g-H u b C M\right)^{2}}{c o s^{2}\left(D e l t a3\right)}\right]<0$ , then there must be an error in the input file. $\begin{array}{l l}{{\displaystyle\sum_{i=I}^{I d}\varepsilon_{\nu_{i}^{c}}\ddot{q}_{i}\left.\right)+{}^{E}\nu_{T e e t}^{c}\ddot{q}_{T e e t}+\left[\displaystyle\sum_{i=J}^{I d}\frac{d}{d t}\!\left({}^{\varepsilon}\nu_{i}^{c}\right)\dot{q}_{i}\right]+\frac{d}{d t}\!\left({}^{E}\nu_{T e e t}^{c}\right)\dot{q}_{T e e t}\left[\right)}}\\ {{\displaystyle\frac{\pi}{\Gamma}{\cal M}\cdot\left\{\left(\displaystyle\sum_{i=J}^{I d}{}^{E}\varepsilon_{\omega_{i}^{H}}\ddot{q}_{i}\right)+{}^{E}\omega_{T e e t}^{H}\ddot{q}_{T e e t}+\left[\displaystyle\sum_{i=7}^{I d}\frac{d}{d t}\!\left({}^{E}\omega_{i}^{H}\right)\dot{q}_{i}\right]+\frac{d}{d t}\!\left({}^{E}\omega_{T e e t}^{H}\right)\dot{q}_{T e t}\right\}-{}^{E}\omega^{H}\times\overline{{{\cal I}}}^{H}\cdot{\cal E}_{\omega}({}^{E})}}\end{array}$ (r=1,2,,14;Teet) H Thus, C (q,t) $\begin{array}{r l}&{\left.\big|\right]_{H}\left(R o w,C o l\right)=m^{H\;E}\nu_{R o w}^{C}\cdot^{\;}\nu_{C o l}^{C}+^{.}\omega_{R o w}^{H\;}\cdot\overline{{\overline{{I}}}}^{H}\cdot^{.}\omega_{C o l}^{H}\quad\left(R o w,C o l=I,2,\ldots,I\mathcal{I};22\right)}\\ &{\;}\\ &{\left.q,t\right)\right\}\Bigr|_{H}\left(R o w\right)=-m^{H\;E}\nu_{R o w}^{C}\cdot\left\{\left[\displaystyle\sum_{i=q}^{\mathcal{H}}\displaystyle\frac{d}{d t}\Big(^{.}\nu_{\nu}^{C}\Big)\dot{q}_{i}\right]+\displaystyle\frac{d}{d t}\Big(^{\;}\nu_{\nu_{T e f}^{C}}^{C}\Big)\dot{q}_{T e e t}\right\}}\\ &{\qquad\qquad\qquad-^{\;E}\omega_{R o w}^{H\;}\cdot\left(\overline{{\overline{{I}}}}^{H}\cdot\left\{\displaystyle\sum_{i=q}^{\mathcal{H}}\displaystyle\frac{d}{d t}\Big(^{\;}\omega_{i}^{H}\Big)\dot{q}_{i}\right]+\displaystyle\frac{d}{d t}\Big(^{\;E}\omega_{r e e t}^{H\;}\Big)\dot{q}_{T e e t}\right\}+^{.}\omega^{H}\times\overline{{\overline{{I}}}}^{H}\cdot^{.}}\end{array}$ {−f (q, (Row=1,2,,14;2 ω $\left.F_{r}\right|_{G r a v H}={^{E}\nu_{r}^{c}}\cdot\left(-m{^{H}}g z_{2}\right)\;\;\;\left(r=3,4,...,I4;T e e t\right)$ Thus, $\begin{array}{l}{{\left[C(q,t)\right]_{G r a v H}=O}}\\ {{\left.\left\{-f\bigl(\dot{q},q,t\bigr)\right\}\right|_{G r a v H}\left(R o w\right)\!=\!-m^{H}g^{\phantom{-}E}\nu_{R o w}^{C}\cdot z_{2}\quad\left(R o w\!=\!3,\mathcal{A},...,I\mathcal{I};22\right)}}\end{array}$ Blade 1: The distributed properties of blade 1 bring about generalized inertia forces and generalized active forces associated with blade elasticity, blade damping, blade weight, and blade aerodynamics. ![](images/01182863bf924cb79d8a671dd8b07d9c1abe4eb2a38fe98fe5a43765e0690e04.jpg)
Q BITipE BldFlexL -mEv (r))ai v(r))ai ST (r)) VTeet GTeet dt i=16 18 > BldFlexL)ai > BldFlexL)ai ST BldFlexL) qTeet r =1,2,...,14;16,17,18;Teet =16 2 < BldFlexL )q BldFlexL )qi dt i=16 di BldFlexL qTeet Teet
Thus, ![](images/006427ca562878757dfd216aaa53ccf90c4de737d6a2edf30f7fe8b3113dd15a.jpg) ![](images/5b16b7be773e3aa88a5ea789f4397569fe7963fc771f2e98fadcd04790818bc9.jpg) where $k_{\ i j}^{\,\prime B I F}$ and $\boldsymbol{k\,}_{I I}^{\prime B I E}$ are the generalized stiffnesses of blade 1 in the local flap and local edge directions respectively when centrifugal-stiffening effects are not included as follows: k' ${}_{i j}^{.B I F}=\sqrt{F l S t T u n r^{B I}\left(i\right)F l S t T u n r^{B I}\left(j\right)}^{B I F l e x L}\int_{0}^{B I F}E I^{B I F}\left(r\right)\frac{d^{2}\phi_{i}^{B I F}\left(r\right)}{d r^{2}}\frac{d^{2}\phi_{j}^{B I F}\left(r\right)}{d r^{2}}d r^{\prime}\quad(i,j\neq2),$ where $E I^{B I F}\left(r\right)=A d j F l S t^{B I}\cdot F l p S t f f^{B I}\left(r\right)$ and where $E I^{B I E}\left(r\right)=A d j E d S t^{B I}\cdot E d g S t f f^{B I}\left(r\right)$ $$ k_{\;\;I I}^{\;^{\prime B I E}}=\int_{0}^{B l d F l e x L}E I^{B I E}\left(r\right)\left[\frac{d^{2}\phi_{I}^{B I E}\left(r\right)}{d r^{2}}\right]^{2}d r $$ Similarly, when using the Rayleigh damping technique where the damping is assumed proportional to the stiffness, then $$ \boldsymbol{F}_{r}\Big\rvert_{D a m p B I}=\left\{\begin{array}{l l}{-\frac{\zeta_{I}^{B I F}k_{I I}^{B I F}}{\pi f^{\prime,B I F}}\boldsymbol{\dot{q}}_{B I F I}-\frac{\zeta_{2}^{B I F}k_{I I}^{B I F}}{\pi f^{\prime,B I F}}\boldsymbol{\dot{q}}_{B I F2}}&{f o r}&{r=B I F I}\\ {-\frac{\zeta_{I}^{B I E}k_{I I}^{B I E}}{\pi f^{\prime,B I E}}\boldsymbol{\dot{q}}_{B I E I}}&{f o r}&{r=B I E I}\\ {-\frac{\zeta_{I}^{B I F}k_{I I}^{B I F}}{\pi f^{\prime,B I F}}\boldsymbol{\dot{q}}_{B I F I}-\frac{\zeta_{2}^{B I F}k_{I2}^{B I F}}{\pi f^{\prime,B I F}}\boldsymbol{\dot{q}}_{B I F2}}&{f o r}&{r=B I F2}\\ {0}&{o t h e r w i s e}\end{array}\right. $$ where $\zeta_{i}^{B I F}$ and $\zeta_{i}^{B I E}$ represent the structural damping ratio of blade 1 for the $i^{\mathrm{th}}$ mode in the local flap and edge directions, $B l d F l D m p^{B I}(i)/l O0$ and $B l d E d D m p^{B l}\left(i\right)/l O O$ respectively. Also, ${f^{\prime}}_{i}^{B I F}$ and $\boldsymbol{f}_{\ i}^{\prime B I E}$ represent the natural frequency of blade 1 for the $i^{\mathrm{th}}$ mode in the local flap and edge directions respectively without centrifugal-stiffening effects. That is, $$ f_{\;i}^{\prime B I F}=\frac{I}{2\pi}\sqrt{\frac{k_{\;i i}^{\prime B I F}}{m_{\;i i}^{\prime B I F}}}\quad\mathrm{and}\qquad f_{\;i}^{\prime B I E}=\frac{I}{2\pi}\sqrt{\frac{k_{\;i i}^{\prime B I E}}{m_{\;i i}^{\prime B I E}}} $$ where $m_{\ i i}^{\prime B I F}$ and $m_{\ i i}^{\prime B I E}$ represent the generalized mass of blade 1 for the $i^{\mathrm{th}}$ mode in the local flap and edge directions respectively without centrifugal-stiffening and tip mass effects as follows: $$ m_{\ i j}^{\prime B I F}=\int_{\ o}^{\ B I d F l e x L}\mu^{B I}\left(r\right)\phi_{i}^{B I F}\left(r\right)\phi_{j}^{B I F}\left(r\right)d r\quad\left(i,j=I,2\right) $$ and $$ m_{~I I}^{~\!B I E}=\int_{0}^{\!~\!B I d F l e x L}\mu^{B I}\left(r\right)\!\left[\phi_{I}^{B I E}\left(r\right)\right]^{2}d r $$ # Thus, [C(q,t)]E =0 lasticB1 and $\left[C(q,t)\right]_{D a m p B I}=O$
lasticB
.....................................................................
{-f(g,q,t)} ElasticB1.........................................................++................
{-f(a,q,t)}DampB1
yBIF B1F B1F BIF
11 12 qB1F2 BIF 1B1F1 B1F
qB1F1 12 B1F2 IB1πf πf YBIE B1E
9BIE111 B1E1 B1E
B11 k 21B1F B1F1 K B1F2. 22πf ................ ...............….
yB1F1 yBIF BIF 2 K 22 1B1F2
BIF B1F1 πf πfIBIF ...........................
.............................. .....................
..................................
![](images/53e0033471267f7088b7241519ec842e1c94731ae66e9f17bc5e117c185390a8.jpg) ${\cal F}_{r}\Big|_{A e r o B I}=\int_{0}^{B H F e x I}\Big[\,{\cal E}\,_{\nu}^{S I}\left(r\right)\cdot{\cal F}_{A e r o B I}^{S I}\left(r\right)+\,^{E}\omega_{r}^{M I}\left(r\right)\cdot{\cal M}_{A e r o B I}^{M I}\left(r\right)\Big]d r+\,^{E}\nu_{r}^{S I}\left(B l d F l e x L\right)\cdot$ $^{t I}_{e r o B I}\left(r\right)\right]d r+^{E}\nu_{r}^{S I}\left(B l d F l e x L\right)\cdot F_{r i p r a g B I}^{S I}\left(B l d F l e x L\right)\quad(r=I,2,\ldots,I\mathcal{I};I\delta,I7,I\delta;T e e t)$ where $F_{A e r o B I}^{S I}(r)$ and $M_{A e r o B I}^{M I}\left(r\right)$ are aerodynamic forces and pitching moments applied to point S1 on blade 1 respectively expressed per unit span. Note that $M_{A e r o B I}^{M I}\left(r\right)$ can include effects of both direct aerodynamic pitching moments (i.e., $\mathrm{Cm})$ ) and aerodynamic pitching moments caused by an aerodynamic offset (i.e., moments due to aerodynamic lift and drag forces acting at a distance away from the center of mass of the blade element along the aerodynamic chord). 其中,$F_{A e r o B I}^{S I}(r)$ 和 $M_{A e r o B I}^{M I}\left(r\right)$ 分别表示作用于叶片 1 的点 S1 上的气动力和俯仰力矩,均以单位跨度表示。需要注意的是,$M_{A e r o B I}^{M I}\left(r\right)$ 可以包括直接气动俯仰力矩(即 $\mathrm{Cm}$)的影响,以及由气动偏置引起的俯仰力矩(即由于气动升力和阻力作用在叶片单元气动弦线质量心以外的距离处产生的力矩)。 Thus ![](images/128ab85f26d83e90bb74daf0f45cca8fdb8d9558720db62c0b117c68efd0d047.jpg) Blade 2: Just like blade 1, the distributed properties of blade 2 bring about generalized inertia forces and generalized active forces associated with blade elasticity, blade damping, blade weight, and blade aerodynamics. The equations for $F_{r}^{*}\Big|_{_{B2}},\;F_{r}\big|_{E l a s t i c B2}\,,\;F_{r}\big|_{D a m p B2},\;F_{r}\big|_{G r a v B2}$ , and $F_{r}|_{A e r o B2}$ are similar to those of blade 1. # Drivetrain: The inertia of the drivetrain brings about generalized inertia forces and the load in the generator, high-speed shaft brake, gearbox (friction forces resulting from nonzero GBoxEff ) and the flexibility of the low speed shaft bring about generalized active forces. Note that all of these equations assume that the rotor is spinning about the positive $c_{I}$ axis (they assume that the rotor can’t be forced to rotate in the opposite direction). This model works for any gearbox arrangement (including no gearbox, single stage, or multi-stage) as long as the generator rotates about the shaft axis (it may not be skewed relative to the shaft, even though it may rotate in the opposite direction of the low-speed shaft due to the gearbox stages). If there is no gearbox, simply set $G B R a t i o\,=\,G B o x E f f=G e n D i r=1$ (GB R $e\nu e r s e={\mathrm{False}}$ ). 传动系惯性带来广义惯性力和发电机负载、高速轴制动器、齿轮箱(由于GBoxEff非零导致的摩擦力)以及低速轴挠曲性,都会产生广义主动力。需要注意的是,这些方程都假设转子绕正$c_{I}$轴旋转(即假设转子不能被强制旋转到相反方向)。该模型适用于任何齿轮箱布置(包括无齿轮箱、单级或多级),只要发电机绕轴旋转即可(即使它可能由于齿轮箱级数而以低速轴相反的方向旋转,但不能相对于轴倾斜)。如果不存在齿轮箱,只需将$G B R a t i o\,=\,G B o x E f f=G e n D i r=1$ (GB R $e\nu e r s e={\mathrm{False}}$ )。 The mechanical torque within the generator is applied to the high speed shaft and equally and oppositely to the structure that furls with the rotor as follows: 发电机内部的机械扭矩施加到高速轴上,并以相等且相反的方式作用于与转子一起摆动的结构,具体如下: $$ \left.F_{r}\right|_{G e n}=\left(^{E}\omega_{r}^{G}-{^{E}\!\omega_{r}^{R}}\right)\cdot M_{G e n}^{G}\quad\left(r=l,2,...,22\right) $$ Thus, $$ \left.F_{r}\right|_{G e n}=\left\{\!\!\!\begin{array}{l l}{{^{E}\pmb{\omega}_{G e d z}^{G}\cdot M_{G e n}^{G}}}&{{f o r~~r=G e A z}}\\ {{0}}&{{o t h e r w i s e}}\end{array}\ \right. $$ $$ \boldsymbol{M_{G e n}^{G}}=-G e n D i\boldsymbol{r}\cdot\boldsymbol{T^{G e n}}\left(G B R a t i o\cdot\dot{q}_{G e d z},t\right)\boldsymbol{c}_{I} $$ Note that a positive $T^{G e n}$ represents a load (positive power extracted) whereas a negative $T^{G e n}$ represents a motoring-up situation (negative power extracted, or power input). Thus, $$ F_{r}\Big|_{G e n}=\left\{\begin{array}{l l}{\left(G e n D i r\cdot G B R a t i o\cdot c_{I}\right)\cdot\left[-G e n D i r\cdot T^{G e n}\left(G B R a t i o\cdot\dot{q}_{G e d z},t\right)c_{I}\right]}&{f o r\;\;\;r=G e n D i r}\\ {0}&{o t h e r w i s e}\end{array}\right. $$ Or since $G e n D i r^{2}=1$ , $$ F_r \Big|_{Gen} = \begin{cases} -GRRatio \cdot T^{Gen} (GRRatio \cdot \dot{q}_{GeAz}, t) & \text{for } r = GeAz \\ 0 & \text{otherwise} \end{cases} $$ Thus, $\left[C(q,t)\right]_{G e n}=0$ $$ [C(\mathbf{q},t)]_{Gen} = 0 $$ $$ \{-f(\dot{\mathbf{q}},\mathbf{q},t)\}_{Gen} = \left[ \begin{array}{c} \vdots \\ 0 \\ -GBRatio \cdot T^{Gen} (GRRatio \cdot \dot{q}_{GeAz}, t) \\ 0 \\ \vdots \end{array} \right] $$ Similarly, the mechanical torque applied to the high-speed shaft from the high-speed shaft brake is applied equally and oppositely to the structure that furls with the rotor. Thus, 同样地,从高速轴制动器施加到高速轴上的机械扭矩,也会以相等且相反的方式作用于与转子一同回转的结构上。因此, $F_{r}\big|_{B r a k e}=\left\{\!\!\!\begin{array}{l l}{{^{E}\pmb{\omega}_{G e A z}^{G}\cdot M_{B r a k e}^{G}}}&{{f o r\;\;\;r=G e A z}}\\ {{0}}&{{o t h e r w i s e}}\end{array}\!\!\right.$ where $M_{B r a k e}^{G}=-G e n D i r\cdot T^{B r a k e}\left(t\right)c_{I}\qquad\mathrm{~and~where}\qquad T^{B r a k e}\left(t\right)=H S S B r k T\left(t\right)$ which is assumed to be positive in value always. Thus, $$ F_{r}\bigr|_{B r a k e}=\left\{\begin{array}{l l}{-G B R a t i o\cdot T^{B r a k e}\left(t\right)}&{f o r\;\;\;r=G e A z}\\ {O}&{o t h e r w i s e}\end{array}\right. $$ Thus, $$ [C(\mathbf{q},t)]_{Brake} = 0 $$ $$ \{-f(\dot{\mathbf{q}},\mathbf{q},t)\}_{Brake} = \left[ \begin{array}{c} \vdots \\ 0 \\ -GBRatio \cdot T^{Brake}(t) \\ 0 \\ \vdots \end{array} \right] $$ If the translational inertia of the drivetrain is assumed to be incorporated into that of the structure that furls with the rotor, then the high-speed shaft generator inertia generalized force is as follows: 如果假设动能惯性由驱动系传递至随转子摆动的结构部分,则高速轴发电机惯性概括力如下: Fr\*G= ${^{E}\omega_{r}^{G}}\cdot\left(-\overline{{{\overline{{{I}}}}}}^{G}\cdot{^{E}\alpha^{G}}-{^{E}\omega^{G}}\times\overline{{{\overline{{{I}}}}}}{^{G}}\cdot{^{E}\omega^{G}}\right)\quad(r=I,2,\dots,22)\qquad\mathrm{~where~}\qquad\qquad\overline{{{\overline{{{I}}}}}}^{G}=G e r$ $\overline{{\overline{{I}}}}^{G}=G e n I n e r c_{I}c_{I}$ or, $$ F_{r}^{*}\Big|_{G}=^{E}\omega_{r}^{G}\cdot\left\{-\overline{{\overline{{I}}}}^{G}\cdot\left\{\left(\sum_{i=\ell}^{l3}\varepsilon_{\theta_{i}^{G}}\ddot{q}_{i}\right)+\left[\sum_{i=\ell}^{l3}\frac{d}{d t}\Big(^{\varepsilon}\omega_{i}^{G}\Big)\dot{q}_{i}\right]\right\}-^{E}\omega^{G}\times\overline{{\overline{{I}}}}^{G}\cdot^{E}\omega^{G}\right\}\quad(r=l,2), $$ However, since $c_{I}\cdot\frac{d}{d t}\Big(\{^{E}\omega_{G e A z}^{G}\Big)\propto c_{I}\cdot\Big(^{E}\omega^{R}\times c_{I}\Big)={^{E}\!\omega^{R}}\cdot\Big(c_{I}\times c_{I}\Big)=0$ (the first $c_{I}$ coming from $\overline{{\overline{{I}}}}^{\,\!\overline{{\sigma}}}$ ), this simplifies as follows: $$ F_{r}^{*}\Big|_{G}=^{E}\omega_{r}^{G}\cdot\left\{-\overline{{\overline{{I}}}}^{G}\cdot\left\{\left(\sum_{i=4}^{l3}\varepsilon_{\theta_{i}^{G}}\ddot{q}_{i}\right)+\left[\sum_{i=7}^{l2}\frac{d}{d t}\Big(^{E}\omega_{i}^{G}\Big)\dot{q}_{i}\right]\right\}-^{E}\omega^{G}\times\overline{{\overline{{I}}}}^{G}\cdot^{E}\omega^{G}\right\}\quad(r=l,2), $$ $$ F_{r}^{*}\Bigr|_{G}=\left\{\begin{array}{l l}{\displaystyle-\varepsilon_{\omega_{r}}^{\varepsilon}\cdot\overline{{I}}^{\varepsilon}\cdot\left\{\left(\sum_{i=d}^{l/3}\varepsilon_{\omega_{i}^{G}}^{\alpha_{i}}\ddot{q}_{i}\right)+\left[\sum_{i=r}^{l/2}\frac{d}{d t}\big(^{\varepsilon}\omega_{i}^{R}\big)\dot{q}_{i}\right]\right\}-\varepsilon_{\omega_{r}^{R}}^{\varepsilon}\cdot\left({^{\varepsilon}\omega^{R}}\times\overline{{I}}^{G}\cdot{^{\varepsilon}}\omega^{G}\right)}\\ {\displaystyle\qquad\qquad\qquad\qquad\qquad\qquad\qquad\qquad\qquad\qquad\qquad\qquad\qquad\qquad\left[\sum_{i=d}^{l/2}\varepsilon_{\omega_{i}^{R}}\ddot{q}_{i}\right]+\left[\sum_{i=l}^{l/2}\frac{d}{d t}\big(^{\varepsilon}\omega_{i}^{R}\big)\dot{q}_{i}\right]\right\}\cdot c_{l}-G e n I n}\\ {\displaystyle-G e n D i r\cdot G B R a t i o c_{l}\cdot\left({^{\varepsilon}\omega^{\varepsilon}}\times\overline{{I}}^{G}\cdot{^{\varepsilon}}\omega^{G}\right)}\\ {\displaystyle\qquad\qquad\qquad\qquad\qquad\qquad\qquad\qquad\qquad\qquad\qquad\qquad\qquad\qquad\qquad\qquad\qquad\times\omega_{r}^{G}\times\overline{{I}}^{G}\cdot{^{\varepsilon}}\omega^{G}\right)}\\ {\displaystyle\theta}\end{array}\right. $$ However since $c_{\iota}\cdot\left({\,^{E}}{\omega^{G}}\times c_{I}\,\right)={^{E}}{\omega^{G}}\cdot\left(c_{I}\times c_{I}\right)=0$ (the first $c_{I}$ coming from $\overline{{\overline{{I}}}}^{\omega}$ ), this simplifies again as follows: ![](images/642199797d87d58d786d3a5ee6c8303176b9d0f672825a85f3b35618b3df225b.jpg) The terms associated with DOFs 4,5,…,12 represent the fact that the rate of change of angular momentum of the generator can be considered as an additional torque on the structure that furls with the rotor (i.e., in addition to the torques on the structure transmitted directly from the low-speed shaft). 与DOF 4、5、…、12相关的项,表示发电机角动量变化率可以被视为一个附加于随转子展开的结构上的扭矩(即,除了直接从低速轴传递到结构上的扭矩之外)。 ![](images/20054a9c031e903de79d1d748ec640b3585cfb9c2f27b07cddb92860bea33e91.jpg) # Thus,
ElasticDriveC(q,t) DampDrive
{-f(q,q,t)}] ElasticDriveandlikewise (-f(4,q,t)
…....................................................
··................................................
.............................................................................
+..............................................
..............................................IDampDrive
-DTTorSpr · qDrTr-DTTorDmp·qDrTr
......................................................................................................
··.............................................·...·.................................................·.
+ +...............................................................................
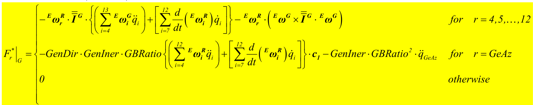
Similar to the generator and HSS brake, the mechanical friction torque applied to the high speed shaft is applied equally and oppositely to the structure that furls with the rotor. Thus, 类似于发电机和HSS制动器,施加到高速轴上的机械摩擦扭矩,以相等且相反的方式作用于与转子一同旋转的结构上。因此, F $=\int_{0}^{\varepsilon}\!\omega_{G e i z}^{G}\cdot M_{\mathit{c B F r i c}}^{G}\quad\mathit{f o r}\quad r=G e d z\qquad\qquad\mathrm{where}\qquad\qquad M_{\mathit{G B F r i c}}^{G}=-\frac{T^{G B F r i c}\left(\ddot{q},\dot{q},\dot{q}\right)}{G B R a t i o\cdot G e^{G B F r i c}}\,,$ GBFric where, from a free-body diagram of the high and low-speed shafts, it is easily seen that the friction torque applied on the LSS upon the gearbox entrance, $T^{G B F r i c}\left(\ddot{q},\dot{q},q,t\right)$ , is always positive in value and equal to: 从高速轴和低速轴的受力图上可以清楚地看到,作用于低速轴进入变速箱处的摩擦转矩,$T^{G B F r i c}\left(\ddot{q},\dot{q},q,t\right)$,其值始终为正,且等于: $$ ,t\bigr)\mathop{=}^{\sim}\biggl[G e n l n e r\cdot G B R a t i o^{2}\cdot\ddot{q}_{G e d z}+G e n D i r\cdot G e n l n e r\cdot G B R a t i o^{E}a^{R}\cdot c_{I}\biggr]\cdot\biggl[\frac{I}{G B o x E/f^{S I G}}\Bigl(G B R a t i o\cdot\dot{q}_{G e d z},t\Bigr)+G B R a t i o\cdot T^{B r a k e}\left(t\right)\biggr]^{2}. $$ Thus, $\left.F_{r}\right|_{G B F r i c}=\left\{\begin{array}{l l}{-T^{G B F r i c}\left(\ddot{q},\dot{q},q,t\right)}&{f o r~~r=G e A z}\\ {0}&{o t h e r w i s e}\end{array}\right.$ or, $\cdot\!\!\!\mid_{G B F r i c}=\left\{\!\!\!\left[\!\!\begin{array}{c}{{G e n I n e r\cdot G B R a t i o^{\prime}\cdot\ddot{q}_{G e d z}+G e n D i r\cdot G e n I n e r\cdot G B R a t i o^{\varepsilon}a^{R}\cdot c_{I}}}\\ {{+G B R a t i o\cdot T^{G e n}\left(G B R a t i o\cdot\dot{q}_{G e d z},t\right)+G B R a t i o\cdot T^{B r a k e}\left(t\right)}}\end{array}\!\!\right]\!:\left[\!\!\frac{1}{G B o x}\!\!\!\right]\!:=\!\!\!\left[\!\!\begin{array}{c}{{\Psi_{0}}}\\ {{G e n I}}\\ {{\Psi_{1}}}\end{array}\!\!\!\right]\!\!:=\!\!\!\left[\!\!\begin{array}{c}{{\Psi_{0}}}\\ {{G e n I}}\\ {{\Psi_{2}}}\end{array}\!\!\!\right]\!\!.$ 1 F GBoxEffSIGN (LSShftTq) for r=GeAz otherwise
or, F GBFric12 12 M E R wqi GenIner·GBRatio GenDir·GenIner·GBRatio E R 9 + + GeAz b dt i=4 i=7 GBRatio·T Gen GBRatio·q GBRatio·T Brake 十 GeAz 十for r= GeAz SIGN(LSShftTq) GBoxEff otherwise
Thus,
C(q,t)] GBFric {-f(g,q,t)) GBFricRowfor GBoxEff SIGN(LSShftTq)(Row = 13,Col =4,5,...,13 otherwise
(E)a + GBRatio·TGen" (GBRatio · IGeaz ,t)+ GBRatio ·TGBoxEff fSIGN(LSShftTq)
It is noted that the gearbox friction generalized active force effects both the mass matrix and the forcing function. Its effect on the mass matrix can be thought of as an apparent mass in the system (i.e., an active friction force which is a function of the generator acceleration). The gearbox friction causes the mass matrix to become unsymmetric. Note that the equation for DOF GeAz is an implicit equation (since the gearbox friction is a function of DOF GeAz), which has no closed-form solution. To avoid the complications resulting from this implicit characterization, the value of the LSShftTq from the previous time step is used in the SIGN() function in place of the value of the LSShftTq in the current time step. This may be done since it may be assumed that LSShftTq will not change much between time steps if the time step is considered small enough. Note that gearbox friction is the only term in the equations of motion that cause the mass matrix to be unsymmetrical. The mass matrix will only be unsymmetric if GBoxEff is not $100\%$ —if GBoxEff is $100\%$ , then the mass matrix is completely symmetric. 需要注意的是,齿箱摩擦产生的广义主动力效应既影响质量矩阵,也影响强制函数。它对质量矩阵的影响可以被认为是系统中的视质量(即,一个随发电机加速度变化的活动摩擦力)。齿箱摩擦导致质量矩阵变得非对称。需要注意的是,DOF GeAz 的方程是一个隐式方程(因为齿箱摩擦是 DOF GeAz 的函数),因此没有闭合解。为了避免由此隐式特性带来的复杂性,在 SIGN() 函数中,使用上一个时间步长的 LSShftTq 值代替当前时间步长的 LSShftTq 值。这是可以做到的,因为如果时间步长足够小,可以假设 LSShftTq 在时间步长之间不会发生太大变化。需要注意的是,齿箱摩擦是导致质量矩阵非对称的唯一项。只有当 GBoxEff 不是 100% 时,质量矩阵才会是非对称的——如果 GBoxEff 是 100%,那么质量矩阵将完全对称。 Tail-Furl: The tail-furl springs (linear and stops) and tail-furl dampers (Coulomb, linear, and stops) bring about tail-furl moments. ![](images/204043d4393282b60c23ffd1a705bb7bcc2a5b8932d1c97208bbbaaa7853497b.jpg) # Thus, C (q,t) =0 SpringTF rowspan="14"
{-f(g,q,t)}
SpringTF
-TFrlSpr·qrFrl -IF [4rFr > TFrlUSSP,TFrlUSSpr(qr - TFrlUSSP),0
< TFrIDSSP,TFrIDSSpr (a - TFrIDSSP),0
# C (q,t)D =0 ampTF
{-f(g,q,t)}
DampTF
-IF[qrFrl
Tail: The rigid lump masses of the tail boom and tail fin bring about generalized inertia forces and generalized active forces associated with the structure weight. Additionally, the tail fin brings about generalized active forces associated with tail fin aerodynamics. Fr\*A=EvrI⋅(−mBEaI)+ ${}\quad^{\!\!E}\omega_{r}^{A}\cdot\left(-^{E}\dot{H}^{A}\right)+{}^{E}\nu_{r}^{J}\cdot\left(-m^{F\,E}a^{J}\right)\quad\left(r=I,2,\ldots,22\right)\quad\qquad\mathrm{where}\qquad\qquad m^{B}=B o o m$ $m^{B}=B o o m M a s s\qquad\mathrm{and}\qquad m^{F}=T F i n M a s s$ Thus, Fr\* =EvrI⋅(−mBEaI)+EωrA⋅(−IA⋅EαA−EωA×IA⋅EωA)+EvrJ⋅(−mFEaJ) (r=1,2,,22)
A = where (BoomCMxn - TFrlPntxn)²{1-cos²(TFrlSkew)cos²(TFrlTilt)TFrlIner-m W tfa tfa or
A =TFrllner -BoomMass+(BoomCMzn-TFrlPntzn)cos²(TFrlTilt tfa tfa
+(BoomCMyn -TFrlPntyn)|1- sin²(TFrlSkew)cos²(TFrlTilt) (BoomCMxn-TFrlPntxn)(BoomCMzn-TFrlPntzn)cos(TFrlSkew)cos(TFrlTilt)sin(TFrlTilt
-2
+(BoomCMxn - TFrlPntxn)(BoomCMyn - TFrlPntyn)cos(TFrlSkew)sin(TFrlSkew)cos² (TFrlTilt)
+(BoomCMzn - TFrlPntzn)(BoomCMyn-TFrlPntyn)sin(TFrlSkew)cos(TFrlTilt)sin(TFrlTilt)
$$ \begin{array}{l}{{\displaystyle{1^{B}\left\{\left(\sum_{i=I}^{I I}\varepsilon_{\nu_{i}^{I}}\ddot{q}_{i}\right)+{}^{E}{\nu}_{T F I}^{I}\ddot{q}_{T F r I}+\left[\sum_{i=d}^{I I}\frac{d}{d t}\big({}^{E}{\nu}_{\nu_{i}^{I}}\big)\dot{q}_{i}\right]+\frac{d}{d t}\big({}^{E}{\nu}_{T F I}^{I}\big)\dot{q}_{T F r I}\big\}}}\\ {{\displaystyle{1:\left(-\overline{{{\bar{I}}}}^{A}\cdot\left\{\left(\sum_{i=d}^{I I}\varepsilon_{\nu_{i}^{J}}\ddot{q}_{i}\right)+{}^{E}{\omega}_{T F I}^{A}\ddot{q}_{T F I}+\left[\sum_{i=j}^{I I}\frac{d}{d t}\big({}^{E}{\omega}_{i}^{A}\big)\dot{q}_{i}\right]+\frac{d}{d t}\big({}^{E}{\omega}_{T F I I}^{A}\big)\dot{q}_{T F I}\right\}-{}^{E}{\omega}^{A}\times\overline{{{\bar{I}}}}^{B}\right.}}\\ {{\displaystyle{\cdot\left(-m^{F}\left\{\left(\sum_{i=I}^{I I}\varepsilon_{\nu_{i}^{J}}\ddot{q}_{i}\right)+{}^{E}{\nu}_{T F I}^{J}\ddot{q}_{T F I}+\left[\sum_{i=d}^{I I}\frac{d}{d t}\big({}^{E}{\nu}_{\nu_{i}^{J}}\big)\dot{q}_{i}\right]+\frac{d}{d t}\big({}^{E}{\nu}_{T F I}^{J}\big)\dot{q}_{T F I}\right\}}}\end{array} $$ A⋅EωA (r=1,2,,11;TFrl) Thus, $\begin{array}{l}{{\left[C\left(q,t\right)\right]_{A}\left(R o w,C o l\right)=m^{B}\,^{E}\nu_{R o w}^{I}\cdot^{\varepsilon}\nu_{{c_{o}}\!\!\!\nu}^{I}+^{E}\omega_{R o w}^{4}\cdot\overline{{{\overline{{I}}}}}\cdot^{A}\cdot^{E}\omega_{C o l}^{A}+m^{F}\,^{E}\nu_{{t o w}}^{J}\cdot^{\varepsilon}\nu_{{c_{o}}\!\!\!\nu}^{J}\quad(R o W)}}\\ {{\left\{-f\left(\dot{q},q,t\right)\right\}_{A}\left[R o w\right]=-m^{B}\,^{E}\nu_{{t o w}}^{I}\cdot\left\{\left[\displaystyle\sum_{i=d}^{I I}\frac{d}{d t}\Big(^{\varepsilon}\nu_{{i}}^{I}\Big)\dot{q}_{i}\right]\!+\!\frac{d}{d t}\Big(^{\varepsilon}\nu_{{r_{I F I}}\!\!\nu_{I}}^{I}\Big)\dot{q}_{{T r i}}\!\right\}}}\\ {{\mathrm{~}\qquad\qquad-\ ^{E}\omega_{R o w}^{A}\cdot\left(\overline{{{\overline{{I}}}}}\cdot\left\{\left[\displaystyle\sum_{i=7}^{I I}\frac{d}{d t}\Big(^{\varepsilon}\omega_{i}^{4}\Big)\dot{q}_{i}\right]\!+\!\frac{d}{d t}\Big(^{\varepsilon}\omega_{T F I}^{4}\Big)\dot{q}_{T r I}\right\}+^{E}\omega_{R o w}^{A}\right)}}\\ {{\mathrm{~}\qquad\qquad\qquad-m^{F}\,^{E}\nu_{R o w}^{J}\cdot\left\{\left[\displaystyle\sum_{i=d}^{I I}\frac{d}{d t}\Big(^{\varepsilon}\nu_{{i}}^{J}\Big)\dot{q}_{i}\right]\!+\!\frac{d}{d x^{i}}\Big(^{E}\nu_{{t r E I}}^{J}\Big)\dot{q}_{{T r I}}\right\}}}\end{array}$ w,Col=1,2,,11;15) A×IA⋅EωA (r=1,2,,11;15) dt $$ F_{r}\big|_{G r a v e d}={^{E}\nu}_{r}^{I}\cdot\left(-m{^{B}g z}_{2}\right)+{^{E}\nu}_{r}^{J}\cdot\left(-m{^{F}g z}_{2}\right)\;\;\left(r=3,4,\ldots,I I;T F r l\right) $$ Thus, $\begin{array}{r l}&{\left\lfloor C\left(q,t\right)\right\rfloor\rfloor_{G r a v d}=O}\\ &{\left\{-f\left(\dot{q},q,t\right)\right\}\Bigl|_{G r a v d}\left(R o w\right)\!=\!-m^{B}g^{\,E}\nu_{R o w}^{I}\cdot z_{2}-m^{F}g^{\,E}\nu_{R o w}^{J}\cdot z_{2}\quad\left(R o w=3,4,\ldots,I I;I\xi\right)}\end{array}$ $F_{r}\big|_{A e r o A}={^{E}\nu_{r}^{K}}\cdot F_{A e r o A}^{K}+{^{E}\omega_{r}^{A}}\cdot M_{A e r o A}^{A}\quad\left(r=I,2,...,I I;T F r l\right)$ Thus, C (q,t) =0 $\begin{array}{r l}{\left.\left\{-f\left(\dot{q},q,t\right)\right\}\right|_{A e r o d}\left(R o w\right)=}&{{}^{E}\nu_{R o w}^{K}\cdot F_{A e r o d}^{K}+\frac{E}{}\omega_{R o w}^{A}\cdot M_{A e r o d}^{A}\quad\left(R o w=I,2,\ldots,I I;I5\right)}\end{array}$ Overall: Combining the results from the previous sections it is seen that the various portions of the equations of motion are related to the various forces as follows (NOTE: $B=B I+B2$ ): ![](images/3a87020067682bbc60b4cbb4a2760d97dae81172155f29057db82323aae48177.jpg)
{-f(g,q,t)} SpringTF + DampTF + A+ GravA+ AeroA B1+ElasticB1+ DampB1+GravB1+ AeroB1 B1+ElasticB1+ DampB1+GravB1+ AeroB1 B1+ElasticB1+DampB1+GravB1+AeroB1 B2+ElasticB2+DampB2+GravB2+AeroB2 B2+ElasticB2+DampB2+GravB2+AeroB2 B2+ElasticB2+DampB2+GravB2+ AeroB2 SpringTeet + DampTeet + H + GravH + B+ GravB+ AeroBX+ HydroX+T+ AeroT+N+ R+ H+ B+ AeroB+ A+ AeroA ..................... X + HydroX +T+ AeroT + N+ R+H+ B+ AeroB+ A+ AeroA X + GravX + HydroX + T + GravT + AeroT + N + GravN + R+ GravR+ H + GravH + B+ GravB+ AeroB+ A+ GravA + AeroA X + GravX + HydroX + T + GravT + AeroT + N+ GravN + R+ GravR+ H + GravH + B+ GravB+ AeroB+G+ A+ GravA+ AeroA X + GravX + HydroX + T + GravT + AeroT + N + GravN + R+ GravR + H + GravH + B+ GravB+ AeroB + G+ A+ GravA+ AeroA X + GravX + HydroX + T + GravT + AeroT + N + GravN + R+ GravR + H + GravH + B+ GravB+ AeroB+ G+ A+ GravA+ AeroA T + ElasticT + DampT + GravT + AeroT + N+ GravN + R+ GravR+ H+ GravH + B+ GravB+ AeroB+ G+ A+ GravA+ AeroA T + ElasticT + DampT + GravT + AeroT + N+ GravN + R+ GravR+ H + GravH + B+ GravB+ AeroB+G+ A+ GravA+ AeroA ·........ T+ ElasticT + DampT + GravT + AeroT + N+ GravN + R+ GravR+ H + GravH + B+ GravB+ AeroB + G+ A+ GravA+ AeroA T + ElasticT + DampT + GravT + AeroT + N+ GravN + R+ GravR+ H + GravH + B+ GravB+ AeroB+ G+ A+ GravA+ AeroA SpringYaw+ DampYaw+ N + GravN + R+ GravR+ H + GravH + B+ GravB+ AeroB + G+ A+ GravA+ AeroA SpringRF + DampRF + R+ GravR+ H + GravH + B+ GravB+ AeroB +G H + GravH + B+ GravB+ AeroB+ Gen + Brake+ G+ GBFric H + GravH + B+ GravB+ AeroB+ ElasticDrive+ DampDrive ................................................................