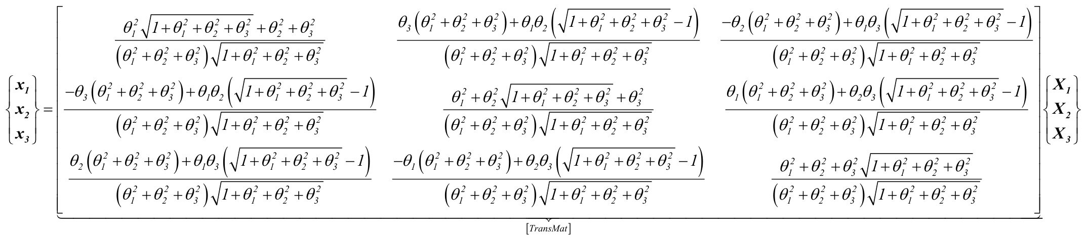
The following are transformation equations defining the angular orientation of each coordinate system inherent in FAST. Before providing these, it is useful to discuss the transformation equation relating coordinate system $\pmb{x}$ to coordinate system $X$ where $\pmb{x}$ (with orthogonal axes $x_{I},\ x_{2}$ , and $x_{3}$ ) is the coordinate system resulting from three rotations $(\theta_{\!\scriptscriptstyle I},\theta_{\!\scriptscriptstyle2}$ , and $\theta_{3}$ ) about the orthogonal axes $(\,X_{I},\,X_{2}$ , and $X_{3}$ ) of coordinate system $X$ . With all rotation angles assumed to be small, the order of rotations does not matter and Euler angles do not need to be used. Instead, what we want, is a transformation equation that is consistent with classical Bernoulli-Euler beam theory (which assumes small rotations). The correct transformation equation is: $$ \begin{array}{r}{\left[\!\!\begin{array}{c}{x_{I}}\\ {x_{2}}\\ {x_{3}}\end{array}\!\!\right]\approx\!\!\underbrace{\left[\!\!\begin{array}{c c c}{I}&{\theta_{3}}&{-\theta_{2}}\\ {-\theta_{3}}&{I}&{\theta_{I}}\\ {\theta_{2}}&{-\theta_{I}}&{I}\end{array}\!\!\right]}_{[\!\!\begin{array}{c}{A}\\ {B}\end{array}\!\!\right]}\!\!\left[X_{I}\right],}\end{array} $$ where $[A]$ is referred to as the Bernoulli-Euler transformation matrix in this work. The approximation symbol $(\approx)$ is used in place of an equals symbol $(=)$ in the above expression since $[A]$ is not orthonormal, which implies that the resulting $\pmb{x}$ from this expression is not made up of a set of mutually orthogonal axes (all transformation matrices between sets of mutually orthogonal axes must be orthonormal). So it is evident that in place of $[A]$ , what we want is the closest orthonormal matrix to $[A]$ , which is referred to as $\left[T r a n s M a t\right]$ in this work. From linear algebra, we know that the closest orthonormal matrix to $[A]$ in the Frobenius Norm sense is: $$ \left[T r a n s M a t\right]{=}\left[U\right]\left[V\right]^{T}, $$ where the columns of $\left[U\right]$ contain the eigenvectors of $\left[A\right]\!\!\left[A\right]^{T}$ and the columns of $\big[V\big]$ contain the eigenvectors of $\left[A\right]^{T}\left[A\right]$ . This result follows directly from the Singular Value Decomposition (SVD) of $[A]$ : $$ [A]\!=\!\!\left[U\right]\!\!\left[\Sigma\right]\!\!\left[V\right]^{\scriptscriptstyle T}, $$ where $\left[\varSigma\right]$ is a diagonal matrix containing the singular values of $[A]$ , which are $\sqrt{e i g e n\nu a l u e s\;o f\left[A\right]\left[A\right]^{T}}\;=\sqrt{e i g e n\nu a l u e s\;o f\left[A\right]^{T}\left[A\right]}\;.$ ![](images/b2c0bc757ff696893b956868f5c253bf5635452cfb9931e91b125836026cce64.jpg) This was derived symbolically by J. Jonkman by computing $\left[U\right]\!\!\left[V\right]^{T}$ by hand with verification in Mathematica. Tower Base / Platform Coordinate System ![](images/88207e1709e48057eba3e20a48c5537a392d9b45b23b859db0e1ec4e12258df7.jpg) Tower Element-Fixed Coordinate System ![](images/3242641825dce121996aa8b64d069f719111b388bf56b4d23f53af451eb49b9d.jpg) Tower-Top / Base Plate Coordinate System ![](images/e15be66677d4a32e794cee5226c75216651a32afe750bafa3f1e124e9814b9c2.jpg) Nacelle / Yaw Coordinate System${\pmb d}_{t}$ cos (qYaw) 0 −sin (qYaw) b${\pmb d}_{2}$ 0 1 0 b${\pmb d}_{3}$ sin (qYaw) 0 cos (qYaw) b Rotor-Furl Coordinate System
-cos +COs rf RFrlSkew)cos rf2 +sin rf3 COS RFrlSkew)sin +sin RFrlTilt)RFrlSkew)cos RFrlTilt RFrlSkew)cos COS 9RFrl COS RFrlSkew)cos RFrlTilt -sin RFrlSkew)cos RFrlTilt RFrlTilt 1-cos sin 9RFr! OS RFrlSkew)cos RFrlTilt sin 9RFr! RFrlSkew)cos RFrlTilt cos(qRFrl )- 1] sin RFrlSkew)cos sin 9RFrl RFrlSkew)cosRFrlTilt sin RFrlTilt L 1-cos 9RFrl COS RFrlTilt sin -sin sin RFrlTilt )cos qRFrl +sin RFrlTilt +cOS RFrlTilt sin RFrlTilt COS )-1 RFrlTilt sin qRFrlRFrlSkew)sin RFrlSkew)cos RFrlTilt )-1] qRFrl RFrlTilt )sin( 9RFrl RFrlSkew)cos RFrlTilt RFrlTilt -1 sin qRFrl d RFrlSkew)cos RFrlTilt sin 9RFrl 1-sin RFrlSkew)cos RFrlTilt COS 9RFrl +sin RFrlSkew)cos RFrlTilt
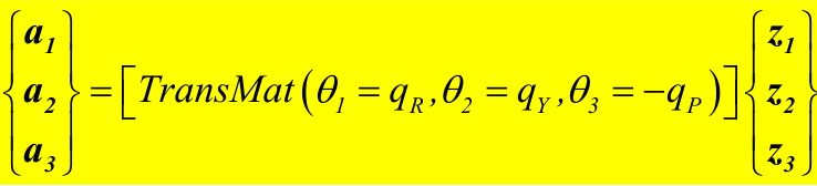
Shaft Coordinate System $c_{I}$ cos (ShftSkew) cos (ShftTilt) sin (ShftTilt) −sin (ShftSkew) cos (ShftTilt) rf $c_{2}$ cos (ShftSkew) sin (ShftTilt) cos (ShftTilt) sin (ShftSkew) sin (ShftTilt) $c_{3}$ sin (ShftSkew) 0 cos (ShftSkew) rf3 Azimuth Coordinate System $e_{I}$ 0 0 $c_{I}$ $e_{2}$ 0 cos (qDrTr+qGeAz) sin (qDrTr+qGeAz) $c_{2}$ e 0 −sin (qDrTr+qGeAz) cos (qDrTr+qGeAz) Teeter Coordinate System cos (qTeet 0 −sin (qTeet 0 1 0 sin (qTeet) 0 cos (qTeet) Hub / Delta-3 Coordinate System 0 $g_{I}$ 0 cos (Delta3) sin( Delta3) $g_{2}$ $\pmb{g}_{3}$ 0 −sin( Delta3) cos (Delta3) Hub (Prime) Coordinate System g'1B1 1 0 0 g1 g'2B1 = 0 1 0 g2 g B1 3 0 0 1 g3 The equation for ${\pmb g}^{\,\circ\!B2}$ of blade 2 is similar. Coned Coordinate System
B1 B1 2 B1 3PreCone (1)] PreCone (1)] sin-sin 1 COSPreCone ()]] PreCone (1)]g B1 1 B1 g 2 g B1 3
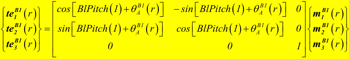
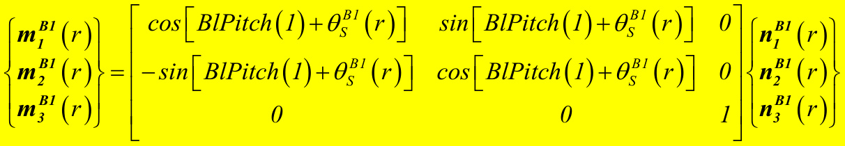
The equation for $i^{B2}$ is similar. Blade / Pitched Coordinate System ![](images/a2a9c533925e493d652a0d69730b87a5df026cde2fee0e7d5f9aaa614a8fa533.jpg) The equation for $j^{B2}$ is similar. Blade Coordinate System Aligned with Local Structural Axes (not element fixed) Lj1B1(r ) cos θSB1(r ) −sinθSB1(r ) iB1 Lj2B1 (r ) θSB1(r ) cosθSB1(r ) B sin $\left\lfloor L j_{3}^{B I}\left(r\right)\right\rfloor$ B 0 0 The equation for $L j^{B2}(r)$ is similar. Blade Element-Fixed Coordinate System Aligned with Local Structural Axes $$ \begin{array}{r}{\left[n_{I}^{B I}\left(r\right)\right]}\\ {\left.\left|n_{2}^{B I}\left(r\right)\right\rangle=\left[T r a n s M a t\left(\theta_{I}=\theta_{x}^{B I}\left(r\right),\theta_{2}=\theta_{y}^{B I}\left(r\right),\theta_{3}=0\right)\right]\left[L j_{2}^{B I}\left(r\right)\right\rangle\right.}\\ {\left.\left|n_{3}^{B I}\left(r\right)\right\rangle\right]}\end{array} $$ where, ![](images/cf71b1f3353b9439b47212c215710ee64d1df808df03c0029378347d198cafb7.jpg) The equation for ${\pmb n}^{B2}(r)$ is similar. Blade Element-Fixed Coordinate System Used for Calculating and Returning Aerodynamic Loads This coordinate system is coincident with $i^{B I}$ when the blade is undeflected. ![](images/402bb29e7129df0062d48b3c5d723765784131fb70c72e23f07e9c78b7e694af.jpg) The equation for $m^{B2}(r)$ is similar. Blade Element-Fixed Coordinate System Aligned with Local Aerodynamic Axes (i.e., chordline) / Trailing Edge Coordinate System ![](images/b7bec12025e6f227efffe993d420000c18ea244ff8bae921c771471511c7eeae.jpg) The equation for $t e^{B2}(r)$ is similar. Tail-Furl Coordinate System ![](images/533bb40e8037410168158086acafc99d91b7370bfc9c854092d68c0b8bfaea2e.jpg) Tail Fin Coordinate System ![](images/326d9d71696178edb5d7849627247735ea5edae14d157ee4fcf3753eb8210851.jpg)