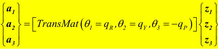
The following are transformation equations defining the angular orientation of each coordinate system inherent in FAST.
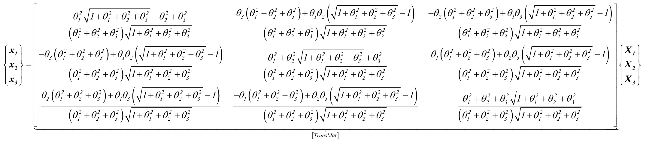
Before providing these, it is useful to discuss the transformation equation relating coordinate system $\pmb{x}$ to coordinate system $X$ where $\pmb{x}$ (with orthogonal axes $x_{I},\ x_{2}$ , and $x_{3}$ ) is the coordinate system resulting from three rotations $(\theta_{\!\scriptscriptstyle I},\theta_{\!\scriptscriptstyle2}$ , and $\theta_{3}$ ) about the orthogonal axes $(\,X_{I},\,X_{2}$ , and $X_{3}$ ) of coordinate system $X$ . With all rotation angles assumed to be small, the order of rotations does not matter and Euler angles do not need to be used. Instead, what we want, is a transformation equation that is consistent with classical Bernoulli-Euler beam theory (which assumes small rotations). The correct transformation equation is:
$$
\begin{array}{r}{\left[\!\!\begin{array}{c}{x_{I}}\\ {x_{2}}\\ {x_{3}}\end{array}\!\!\right]\approx\!\!\underbrace{\left[\!\!\begin{array}{c c c}{I}&{\theta_{3}}&{-\theta_{2}}\\ {-\theta_{3}}&{I}&{\theta_{I}}\\ {\theta_{2}}&{-\theta_{I}}&{I}\end{array}\!\!\right]}_{[\!\!\begin{array}{c}{A}\\ {B}\end{array}\!\!\right]}\!\!\left[X_{I}\right],}\end{array}
$$
where $[A]$ is referred to as the Bernoulli-Euler transformation matrix in this work. The approximation symbol $(\approx)$ is used in place of an equals symbol $(=)$ in the above expression since $[A]$ is not orthonormal, which implies that the resulting $\pmb{x}$ from this expression is not made up of a set of mutually orthogonal axes (all transformation matrices between sets of mutually orthogonal axes must be orthonormal). So it is evident that in place of $[A]$ , what we want is the closest orthonormal matrix to $[A]$ , which is referred to as $\left[T r a n s M a t\right]$ in this work. From linear algebra, we know that the closest orthonormal matrix to $[A]$ in the Frobenius Norm sense is:
$$
\left[T r a n s M a t\right]{=}\left[U\right]\left[V\right]^{T},
$$
where the columns of $\left[U\right]$ contain the eigenvectors of $\left[A\right]\!\!\left[A\right]^{T}$ and the columns of $\big[V\big]$ contain the eigenvectors of $\left[A\right]^{T}\left[A\right]$ . This result follows directly from the Singular Value Decomposition (SVD) of $[A]$ :
$$
[A]\!=\!\!\left[U\right]\!\!\left[\Sigma\right]\!\!\left[V\right]^{\scriptscriptstyle T},
$$
where $\left[\varSigma\right]$ is a diagonal matrix containing the singular values of $[A]$ , which are $\sqrt{e i g e n\nu a l u e s\;o f\left[A\right]\left[A\right]^{T}}\;=\sqrt{e i g e n\nu a l u e s\;o f\left[A\right]^{T}\left[A\right]}\;.$

This was derived symbolically by J. Jonkman by computing $\left[U\right]\!\!\left[V\right]^{T}$ by hand with verification in Mathematica.
Tower Base / Platform Coordinate System

Tower Element-Fixed Coordinate System

Tower-Top / Base Plate Coordinate System

Nacelle / Yaw Coordinate System${\pmb d}_{t}$ cos (qYaw) 0 −sin (qYaw) b${\pmb d}_{2}$ 0 1 0 b${\pmb d}_{3}$ sin (qYaw) 0 cos (qYaw) b
Rotor-Furl Coordinate System
| -cos +COs rf RFrlSkew)cos rf2 +sin rf3 COS RFrlSkew)sin +sin RFrlTilt) | RFrlSkew)cos RFrlTilt RFrlSkew)cos COS 9RFrl COS RFrlSkew)cos RFrlTilt -sin RFrlSkew)cos RFrlTilt RFrlTilt 1-cos sin 9RFr! OS RFrlSkew)cos RFrlTilt sin 9RFr! RFrlSkew)cos RFrlTilt cos(qRFrl )- 1] sin RFrlSkew)cos sin 9RFrl RFrlSkew)cos | RFrlTilt sin RFrlTilt L 1-cos 9RFrl COS RFrlTilt sin -sin sin RFrlTilt )cos qRFrl +sin RFrlTilt +cOS RFrlTilt sin RFrlTilt COS )-1 RFrlTilt sin qRFrl | RFrlSkew)sin RFrlSkew)cos RFrlTilt )-1] qRFrl RFrlTilt )sin( 9RFrl RFrlSkew)cos RFrlTilt RFrlTilt -1 sin qRFrl d RFrlSkew)cos RFrlTilt sin 9RFrl 1-sin RFrlSkew)cos RFrlTilt COS 9RFrl +sin RFrlSkew)cos RFrlTilt |
Shaft Coordinate System
$c_{I}$ cos (ShftSkew) cos (ShftTilt) sin (ShftTilt) −sin (ShftSkew) cos (ShftTilt) rf $c_{2}$ cos (ShftSkew) sin (ShftTilt) cos (ShftTilt) sin (ShftSkew) sin (ShftTilt) $c_{3}$ sin (ShftSkew) 0 cos (ShftSkew) rf3
Azimuth Coordinate System $e_{I}$ 0 0 $c_{I}$ $e_{2}$ 0 cos (qDrTr+qGeAz) sin (qDrTr+qGeAz) $c_{2}$ e 0 −sin (qDrTr+qGeAz) cos (qDrTr+qGeAz)
Teeter Coordinate System cos (qTeet 0 −sin (qTeet 0 1 0 sin (qTeet) 0 cos (qTeet)
Hub / Delta-3 Coordinate System
0
$g_{I}$ 0 cos (Delta3) sin( Delta3)
$g_{2}$
$\pmb{g}_{3}$ 0 −sin( Delta3) cos (Delta3)
Hub (Prime) Coordinate System
g'1B1 1 0 0 g1
g'2B1 = 0 1 0 g2
g B1 3 0 0 1 g3
The equation for ${\pmb g}^{\,\circ\!B2}$ of blade 2 is similar.
Coned Coordinate System
| B1 B1 2 B1 3 | PreCone (1)] PreCone (1)] sin | -sin 1 COS | PreCone ()]] PreCone (1)] | g B1 1 B1 g 2 g B1 3 |
The equation for $i^{B2}$ is similar.
Blade / Pitched Coordinate System

The equation for $j^{B2}$ is similar.
Blade Coordinate System Aligned with Local Structural Axes (not element fixed)
Lj1B1(r ) cos θSB1(r ) −sinθSB1(r ) iB1
Lj2B1 (r ) θSB1(r ) cosθSB1(r ) B sin
$\left\lfloor L j_{3}^{B I}\left(r\right)\right\rfloor$ B 0 0
The equation for $L j^{B2}(r)$ is similar.
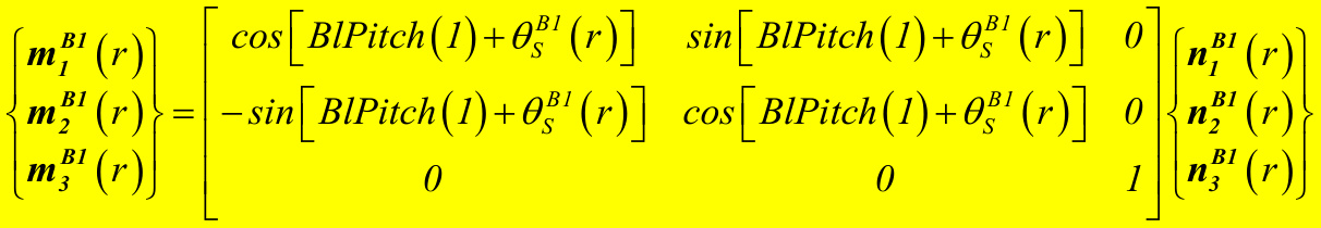
Blade Element-Fixed Coordinate System Aligned with Local Structural Axes
$$
\begin{array}{r}{\left[n_{I}^{B I}\left(r\right)\right]}\\ {\left.\left|n_{2}^{B I}\left(r\right)\right\rangle=\left[T r a n s M a t\left(\theta_{I}=\theta_{x}^{B I}\left(r\right),\theta_{2}=\theta_{y}^{B I}\left(r\right),\theta_{3}=0\right)\right]\left[L j_{2}^{B I}\left(r\right)\right\rangle\right.}\\ {\left.\left|n_{3}^{B I}\left(r\right)\right\rangle\right]}\end{array}
$$
where,

The equation for ${\pmb n}^{B2}(r)$ is similar.
Blade Element-Fixed Coordinate System Used for Calculating and Returning Aerodynamic Loads This coordinate system is coincident with $i^{B I}$ when the blade is undeflected.

The equation for $m^{B2}(r)$ is similar.
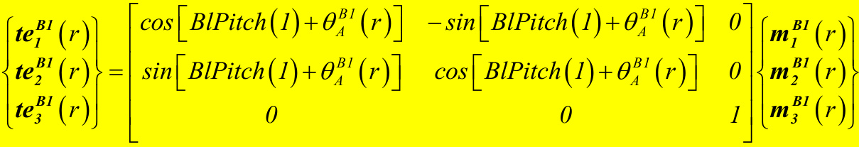
Blade Element-Fixed Coordinate System Aligned with Local Aerodynamic Axes (i.e., chordline) / Trailing Edge Coordinate System

The equation for $t e^{B2}(r)$ is similar.
Tail-Furl Coordinate System

Tail Fin Coordinate System
